定義
收斂性數學分析的基本概念之一,它與“有確定的(或有限的)極限”同義, “收斂於……”相當於說“極限是……(確定的點或有限的數)”。
常見收斂性
依分布收斂
亦稱“弱收斂”,稱隨機變數列依分布收斂於隨機變數X,記作X⇒X,如果在X的分布函式 F(x)的每一連續點x上,X的分布函式F(x)收斂於F(x)。
依機率收斂
收斂性
收斂性
收斂性
收斂性亦稱“隨機收斂”。稱隨機變數列{X}依機率收斂於隨機變數X, 記作 或 ,如果對於任意 ,有 。
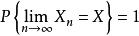
以機率1收斂
收斂性
收斂性
收斂性亦稱幾乎必然收斂。稱隨機變數列X,X,…,X,…以機率1收斂於隨機變數X,記作 或 ,如果 ,若隨機變數列以機率1收斂,則它必依機率收斂,反之則未必。
均方收斂
即“平均收斂”,機率論中常用的一種收斂性,{ξ,n≥1}是隨機變數列,且E|ξ|<+∞,如果E|ξ|<+∞,且E|ξ-ξ|=0.,則稱ξ均方收斂到隨機變數ξ.均方收斂在隨機分析及隨機過程中占有重要地位。
收斂性研究
136 非協調有限元收斂性研究的進展
為檢驗非協調元的收斂性,1970年代西方學者lrons提出“小片檢驗”準則,一直未獲證明。
其後,德國數學家Stummel 指出該準則並非收斂性的充要條件。中國學者石鐘慈分析了工程計算中一些不滿足“小片檢驗”準則卻有收斂效果的實例,從理論上證明了這些實例在某些場合下確為收斂,否定了“小片檢驗”的必要性,並給出可獲收斂結果的格線剖分條件。從而擴大了非協調元的使用範圍,在理論和實際上均具有重大意義。
石鐘慈還發現並首次從理論上研究了非協調元的一種較普遍存在的奇特的錯向收斂現象。即有限元近似解可收斂到非真解的錯誤極限。他找到若干這種非協調元,具體給出其錯誤極限,證實非協調元的解有時強烈依賴於格線剖分的幾何形狀。
Stummel後來提出非協調元收斂的充要條件:廣義小片檢驗。因過於理論化,實踐中不便套用。石鐘慈採用了小片檢驗的某些合理核心,並運用廣義小片檢驗嚴格的數學論證方法,提出一種理論上嚴格、又簡便實用的非協調元收斂性的F—E—M準則。運用這一準則可以方便地檢驗包括未通過小片檢驗的元在內的大量非協調元。
坎托羅維奇定理
牛頓疊代法的半局部收斂定理.它是俄國數學家坎托羅維奇(Канторович,Л.В.)於1948年首先給出的,在疊代法收斂性研究中有深遠影響.定理內容為:假定F:D⊂R→R及初始近似x滿足下列條件:
1.F′(x)存在,且‖F′(x)‖≤β,‖F′(x)F(x)‖≤η;
收斂性
收斂性
收斂性
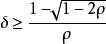
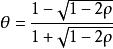
收斂性2.在x的鄰域S(x,δ)⊂D內F′(x)存在,且滿足條件:‖F′(x)-F′(y)‖≤r‖x-y‖,對任何x,y∈S(x,δ),並且 η , η時,則方程F(x)=0於S(x,δ)有解x存在,同時,由牛頓法x=x-F′(x)F(x) (k=0,1,…),產生的序列{x}收斂於x,且有誤差估計‖x-x‖≤θ2θη,其中 。
拉克斯等價性定理
揭示差分方程相容性、穩定性與收斂性三者之間關係的重要定理.該定理表述為:對於適定的線性偏微分方程組初值問題,一個與之相容的線性差分格式收斂的充分必要條件是該格式是穩定的.該定理以美國數學家拉克斯(Lax,P.D.)命名,利用這一定理,可把困難的收斂性研究轉化成對相容性與穩定性的討論.

