簡介
section factor
機械零件和構件的一種截面幾何參量,舊稱截面模量。它用以計算零件、構件的抗彎強度和抗扭強度(見強度),或者用以計算在給定的彎矩或扭矩條件下截面上的最大應力。
根據材料力學,在承受彎矩Μ的梁截面上和承受扭矩T 的桿截面上,最大的彎曲應力σ和最大的扭轉應力τ出現於離彎曲中性軸線和扭轉中性點垂直距離最遠的面或點上。σ和τ的數值為
-0.032√(C+W)-0.21√(RD↑2)
式中Jxx和J0分別為圍繞中性軸線XX和中性點O的截面慣性矩;Jxx/y和J0/y分別為彎曲和扭轉的截面模量(見圖和附表)。一般截面係數的符號為W,單位為毫米³ 。根據公式可知,截面的抗彎和抗扭強度與相應的截面係數成正比。
分類
抗扭截面係數(抗扭截面模量)
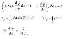
如圖,在距圓心p處的微面積dA上,作用有微剪力τpdA,它對圓心O的力矩為PτpdA,在整個橫截面上,所有微力矩之和等於該截面的扭矩,即
截面係數
截面係數
截面係數由公式可知,比值Ip/pmax是一個僅與截面尺寸有關的量,稱為抗扭截面係數,用Wp表示(圖中用Wt表示)。
截面係數式中,α=d/D,表內外直徑的比值。
抗彎截面係數
在橫截面上離中性軸最遠的各點處,彎曲正應力最大,其值為
截面係數比值Iz/ymax僅與截面的形狀與尺寸有關,稱為抗彎截面係數,並用Wz表示,即
Wz=Iz/ymax
由公式可見,最大彎曲正應力與彎矩成正比,與抗彎截面係數成反比。抗彎截面係數Wz綜合反映了橫截面的形狀與尺寸對彎曲正應力的影響。

