彎心簡介
梁截面所在平面內的一個具有如下特性的點:當剪力通過該點時,截面與鄰近截面間無相對扭轉。對於等截面直梁,若每個截面上的剪力都通過彎心,則在整個梁中將只有彎矩而無扭矩。彎心的研究對薄壁梁型的航空結構尤為重要。開截面薄壁梁的剪心就是彎心。閉截面薄壁梁的彎心又稱扭心。
常用方法
下面是求幾種常用薄壁梁彎心的方法:
開截面薄壁梁
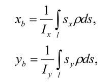
開截面薄壁梁的一個重要特性是:在剪應力沿壁厚均勻分布的假定下,對於某個幾何形狀確定的截面,彎曲剪應力分布規律是確定的,彎曲剪應力的合力作用點也是確定的,這個合力作用點稱為剪心。由於僅當外力通過此點時才能被剪應力的合力所平衡而不引起扭矩,所以剪心就是彎心。對圖1中的薄壁梁,由於剪應力的合力通過B點,所以該點就是彎心。對於如圖2所示的任意開截面薄壁梁,彎心的坐標 x、 y可由外力和截面上的剪力合力對任意選定的坐標原點 O 的力矩平衡條件求得:
彎心式中 ρ為 O點到積分單元d s的垂距; l為薄壁截面的中線長度; S、 S為截面靜矩; l、 l為截面慣性矩(見截面的幾何性質)。積分沿中線進行。
彎心單閉截面薄壁梁
這種梁的剪應力分布規律比開截面複雜,一般不完全取決於截面的幾何形狀。但彎心的位置仍可根據對某一點的力矩平衡條件求得,公式為:
彎心
彎心式中 t為壁厚; A為封閉截面中線所包圍的面積。積分沿封閉中線進行。閉截面中的剪應力隨外力而改變,因此不存在確定的剪心。開截面薄壁梁中剪心和彎心一致的結論在這裡不再適用。但由於閉截面可以承受扭矩,可推出如下的特性:因剪力作用於彎心不引起截面的扭轉,根據位移互等定律,當扭矩作用於截面時,彎心不會移動,即整個截面繞彎心轉動。因此,閉截面薄壁梁的彎心又稱扭心。對於等截面直梁,各截面彎心的連線稱為彎軸(又稱扭軸)。在扭矩作用下,整個梁繞彎軸扭轉。
彎心多閉截面薄壁梁
多閉截面薄壁染彎心的概念和單閉截面相同,但計算比較複雜,故常採用實驗測定法。例如,圖3中懸臂三閉室薄臂梁的彎心可以按下述步驟求出,首先將力 P加到點1上,得到點1的位移 △和點2的位移 △;然後再將力 P以相反的方向加到點2上,得到點1的位移 △和點2的位移 △。當上述力同時作用在點1和點2時,點1的位移為 △- △,點2的位移為 △- △,截面其他部分的位移可按直線關係求得。由於是純扭轉,故彎心(即扭心)應在位移等於零的點,即圖中的 B點。實心截面梁的彎心可用彈性力學的方法求得,但比上述求法複雜。

