方程內容
沒有電流流動時的膜電位可用下式 來表示:
戈德曼方程式中:F是法拉第常數,R是氣體常數,T是絕對溫度,P是通透常數,[ ]out、[ ]in分別是是細胞外,內的離子濃度。
主要推導公式 :
戈德曼方程推導及套用
此式是在下列三種假定的條件下推導出來的:
(1)如在溶液中一樣,膜內離子也是在電場和濃度梯度的影響下移動的;
(2)緊貼膜的細胞內離子濃度和與其鄰接的溶液中的離子濃度相等;
戈德曼方程
戈德曼方程(3)膜內的電場梯度是均一的。因此上述方程式亦稱定電場方程( D.E.Goldman 1943,A.L.Hodgkin和 B.Kotz1949)。式中的通透常數 的定義為μβRT/αF,單位是厘米/秒( 是離子在膜內的移動度,β是膜和液相之間的分配率,α是膜的厚度)。
特別地,該方程只能適用於電荷數為±1的離子,因為本質上該方程一定程度上源於能斯特方程,這裡省略了z(離子電荷數),具體參見能斯特方程。
如果僅考慮鉀離子、鈉離子、氯離子對於膜電位的影響,那么該方程可以寫成下式 :
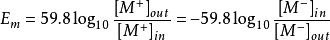
戈德曼方程在37攝氏度的情況下,如果僅僅考慮一種帶正點或帶負電的離子,那么,該式可以簡化成 :
戈德曼方程這就是上述的推導公式。
相關原理
根據方程式可以看到,離子帶正電時,膜外離子濃度與膜內離子濃度之比k取對數再乘常數得到結果。當k<1時(即膜外通透帶正電離子濃度>膜內通透帶正電離子濃度),取對數得負值,膜電位即為負值,靜息電位膜電位大概在-75mV左右。 值得注意的是,如果膜對該離子通透性幾乎為零則不能用該方程計算,也就是其對膜電位無影響,而推導公式中將通透常數約去的前提條件是該通透常數不為零,所以在用推導公式計算時,要注意該離子通透性是否為零。
該方程直觀地告指出了膜電位和膜內外離子的關係,實際電位發生的具體生物過程很複雜,可以近似地看做以下過程:
Ⅰ 假定細胞質膜對任何離子都不通透,此時膜電位無意義。但此時細胞內一種帶正電的離子多於細胞外的該種離子(比如鉀離子等)。
Ⅱ 細胞質膜只對這一種離子通透,受到濃度梯度影響,該種離子大量向外湧出,使得細胞內“想吸引的”正電荷和負電荷分離,這種分離使得膜內外產生了一種“壓”,即電壓或者說電位差,這就是膜電位。 其趨於內負外正。
Ⅲ 因為電壓的“力”(便於理解,且這樣稱之,實則道理很複雜)和濃度梯度產生的力相平衡,離子進入平衡狀態,形成內負外正的電位。
而內正外負的電位形成機理和以上同理。

