簡介
彩色編碼(color coding)是利用編碼方法將黑白影像灰度轉換為不同的彩色色調的過程。是一種彩色增強技術,目的在於提高影像目視判讀效果。最常見的套用是密度分割技術。因人眼對彩色的敏感力大大高於對黑白色調的敏感能力,故可將黑白影像按其密度(灰度)大小分成若干等級或層次,不同等級的像元均用不同彩色進行編碼,從而獲得一種新的假彩色密度分割影像。密度分級通常可達64級。在實際套用中,主要根據人眼辨色能力和能否突出顯示研究目標來選擇合適的3原色組合。還可用濾波方法,即根據影像頻率成分對影像各個區域進行彩色編碼。典型的濾波方法是利用低通、帶通和高通濾波器獲得3個範圍的頻率分量。
二維彩碼在中國市場的套用
為了能夠在國內更方便的解讀二維碼,手機近攝技術成為中國市場發展的基礎條件瓶頸,攝像頭可以自動的聚焦,這個技術在日韓極其普及。而中國的手機市場直至2009年隨著3G產品的應世才開始具備聚焦技術條件,二維彩碼技術得以進入中國市場。
Video interactive於中國市場可開發的商業模式有以下幾種:
金融行業市場—鑑別認證與支付模式
我國尚在二維識別碼使用的初級普及階段,技術模式相應較為落後,僅為通過手機拍攝——彩信傳輸——簡訊反饋的一個低端成長期。相對而言,彩碼技術的進入將會首先開發與套用在金融行業及與其相關市場。利用二維彩碼的圖形互動作用,將客戶認證、信用卡鑑別、支付認證為切入點,先行建立一個金融領域的基礎鋪墊,將消費物品選購——認購渠道——手機支付——遠程認證——電子轉賬形成一個以3G為用戶硬體基礎,金融行業為服務軟體基礎,二維彩碼為第三方技術服務提供基礎的市場開發模式。
電視視頻—告推服務與直銷模式
常用的電視或視頻廣告一般為廠商提供間接的作用,以培養潛在用戶為主要模式,而通過彩碼技術套用在該類載體後,僅以信息欄追加彩碼效果,即可達到互動的直接作用,用戶通過視頻電視接收廣告推廣宣傳信息,對欲購買商品則除了通過電話直銷導購外,還可利用畫面的彩碼截取——接受商品信息——遠程訂購——選擇支付模式——遠程認證——電子轉賬,同時,也可通過畫面信息利用彩碼技術參與活動或投票報名。在商業模式上從原有的廣告主——告推方——傳播方的傳統業務鏈基礎之上增加了第四方即彩碼服務供應方,之所以作為第四方,因為並非為其中的承接告推方或傳播方提供輔助服務,而是在這基礎上新增了電視/視頻——網路平台——手機平台——平面載體一個連鎖的獨立服務體,不建立點對點的傳播面,而是點對面的服務提供商。
平面載體—預訂服務與促銷模式Video interactive技術將平面升級至可視傳播,一個版面的廣告信息或新聞信息不在是文字圖片的圖文模式,在文字信息內加入了更複雜的微視廣告彩碼,將彩碼預播信息預先加入指定伺服器,用戶利用彩碼截取並確認聯網獲取後,可藉此收取相應的維視廣告,同樣除品牌廣告與事實新聞外,我們能將產品促銷實時信息以此傳播,以建立平面多媒體模式,而對於信息互動服務,利用該模式,我們可提供更多的信息服務項,如預訂服務,餐飲、住宿、訂票、都可以在此基礎之上得以實現。如建立肯德基彩碼合作,實時提供新品或折扣信息,手機用戶可通過信息彩碼選購食品,並利用折扣碼直接完成訂餐抵扣或支付,即可獲得送貨服務,免除了遠程聯網訂餐信息不對稱。 網路載體—下載服務與圖郵模式 城市路標—地圖引導與旅景模式GPS導航系統對於大部分人的套用理解,只有駕車人士才會考慮購買使用,而日常往返陌生的城市之間,習慣地圖模式,對於一個高速發達的現代化城市,我們可以不僅僅停留於此,手機用戶的普及性大大有利於我們開拓城市路標,以特有的形態形成龐大的服務網路。 文化娛樂—宣傳導視與票務模式/視頻/平煤/網路媒體的宣傳,更需要彩碼在維視宣傳的套用,成本則大大降低,隨處可見的海報之上加入了彩碼,手機用戶通過截取彩碼,即可獲得一段有別於同類宣傳片更微小的宣傳片斷欣賞。 企業單位—企業管理與業務模式高校學員—生員管理與應試模式 福利彩票—彩票投注與信息模式
WAP網電子商務
電子商務是否能夠還原至手機商務模式,歸納以上各項服務模式,我們可以得出結論,建立在這些多元化服務模式的基礎之上的,正是WAP網,而我們增加了服務種類和連鎖環節,將之形成了一個產業鏈模式,相信隨著第一條產業鏈的打造,將會引入更多的服務模式豐富我們的彩碼套用範圍,而我們不是彩碼套用面的開拓者,僅僅是先驅,為市場提供經驗和案例參考,讓更多行業參與和加入,自行創新開發套用模式,屆時,我們的定位將更為清晰,我們是最具規模最確信的二維彩碼技術服務提供商,在各類形態產業鏈之外的第四方合作商。
基於彩色編碼條紋投影的孤立物體三維測量
基於結構光投影光學三維輪廓術的方法主要有相位測量輪廓術(PMP)、和傅立葉變換輪廓術(FTP)等。兩者都是基於三角測量原理,前者具有高精度的優點,而後者有著測量速度快、全場分析以及高解析度等優點,已被用於動態物體的三維測量。為了提高結構光投影方法測量精度,許多學者做出了深入的研究。但若被測物體分布具有高陡度或者存在若干孤立區域時,採用上述二維空間相位展開算法,均很難得到可靠的相位展開。
彩色編碼條紋投影測量輪廓術具有方法簡單、計算快速的特點,給測量具有高陡度或者孤立物體帶來極大的方便。本文採用排列順序事先已知的彩色編碼序列將每一個正弦條紋周期進行編碼標記,拍攝記錄待測物體表面的變形彩色條紋像後,對整幅圖像進行變形正弦光柵提取,經傅立葉變換計算相位分布,得到截斷相位信息;同時對圖像進行分色處理,得到每一個正弦條紋周期相應的相位級次,用以完成正確可靠的相位展開。在分色處理階段,從截斷相位中快捷提取彩色色條的邊界,並利用兩幅π相移的彩色編碼正弦條紋圖像疊加來消除條紋強度正弦分布對顏色判別的影響,簡化了色條信息的判讀過程。計算機模擬和實物實驗均證明了方法的正確性和實用性。
測量系統的構成
圖1 FTP的光路示意圖基於彩色編碼條紋投影的測量系統和傳統的FTP測量系統一樣,如圖1所示。由數字投影儀(DLP)斜投影一幅彩色編碼正弦條紋到物體上,再由CCD從另一個角度獲取攜帶有被測物體高度信息的變形條紋圖像。
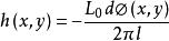
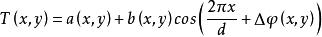
P和P分別是投影裝置的入瞳和出瞳,I和I分別是攝像裝置的入瞳和出瞳,l是P和I間的距離,L是I到參考平面的距離,投影條紋的柵線方向垂直於圖紙平面。CCD獲取的經物體調製後條紋t(x,y)可以表示為
彩色編碼其中:a(x,y)是背景光強;b(x,y)是條紋對比度,d為投影光柵的周期,Δφ(x,y)為條紋變形後的附加相位。式經傅立葉變換、濾波、逆傅立葉變換和相位展開可以得到其連續相位Ф(x,y)。在遠光投影光路條件下,被測物體的高度和連續相位關係為
彩色編碼彩色編碼條紋生成方法
表1 顏色及代碼投影用的彩色編碼條紋是用編碼順序事先設定並確定的彩色編碼序列調製正弦光柵形成的,編碼色條的寬度和正弦條紋的周期相同。因此,後期數據處理時,一旦確定出某一正弦條紋所對應的顏色信息,就能確定其相位信息的對應級次,由此級次可以快速完成截斷相位的展開,得到準確可靠的連續相位分布,最終正確重建空間孤立分布物體的三維面形,完成對其的測量。
(1)彩色編碼方法
彩色編碼序列選取白、紅、綠、藍及其補色組成顏色序列。由於測量的是空間分布呈區域狀、不連續的孤立物體,黑色被用來表示物體以外的背景區域,組成顏色序列的7種顏色分別位於RGB彩色立方體的8個頂點中剩下的7個,從而保證了任意兩個點間的距離很大,使用這些顏色進行編碼,使得相鄰條紋的顏色差異很大,有利於邊界提取。編碼時指定序列中相鄰的每三個顏色為一個子序列,每個子序列需要滿足以下條件:1)相鄰的顏色不一樣;2)每個子序列在整個顏色序列中是確定的。按照這樣的方法,一共可生成q(q-1) +2(q=7,n=3)即254個無重複的編碼。每個顏色可由三位的二進制碼錶示,進而可轉化為1到7的十進制數,見表1。
拍攝條紋的過程中,由於CCD對3個通道的回響度不同,獲取圖像3個通道的灰度值範圍有很大的不同,不利於後期的分色處理。採取在生成條紋時對每個通道的灰度值設定應做相應的調節,使得CCD拍攝回的3個通道大致相同。
(2)彩色條紋的生成
用上述排列順序已知的彩色編碼序列對每一個正弦條紋周期標記後,就組成了需要的彩色條紋。彩色編碼序列的像素寬度和正弦條紋像素周期d相同,另外,增加投影一幅彩色編碼序列不變,只是正弦條紋π相移後的圖像,兩幅條紋間相位相差π。
研究結論
利用彩色信息編碼每一個正弦光柵的周期,投影調製被測孤立物體的高度信息,模擬和實驗驗證了該方法的正確性。條紋經彩色分色後可以確定所對應正弦光柵的相位級次,快速準確地用級次疊加的方法完成相位展開,恢復被測孤立物體的三維面形。其中,投影兩幅π相移的彩色編碼條紋,通過疊加這兩幅圖像消除條紋的正弦信息降低了顏色信息提取的難度;同時,從截斷相位分布得到彩色編碼條紋的邊界,使得邊界提取和顏色分色更為簡單和可靠,利用該邊界信息和相應閾值將每個顏色通道二值化,從而得到較準確的條紋級次。因為該方法將彩色信息是用來編碼每一個條紋周期,只提供條紋的級次信息,而被測物體的相位分布仍舊是從投影的正弦光場的強度分布中計算出來,所以理論測量精度與採用了π相移法的FTP相當,具有較高的測量精度。實驗對兩個空間孤立的模具進行了三維面形的恢復重建,得到了比較滿意的結果。

