定義
編碼矩陣(code matrix):數字遙控系統中解碼器的一個組成部分。由雙穩態觸發器和編碼開關組成。每個雙穩態有“1”和“2”兩種狀態,n個雙穩級聯起來就有2 種可能的組合,每一種組合即為二進制碼組,編碼開關按二進制碼組連線。編碼矩陣的用途是將指令(操作鍵的位置)變換成電信號。
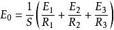
所謂矩陣電路,是一種能將幾路輸入信號各按一定比例線性相加/減而得到一個或幾個不同輸出信號的電路。在彩色電視播送端的視頻通道中,需要將R、G、B基色信號變換成Y、R-Y、B-Y信號,其變化關係為
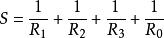
編碼矩陣這種運算屬矩陣運算,故稱實現上式運算的電路為編碼矩陣電路。矩陣電路可由無源網路組成,也可由有源網路組成,最簡單的編碼矩陣電路是無源電阻矩陣電路。使用電阻矩陣電路時要求信號源的內阻、矩陣輸出電阻都必須遠小於矩陣電阻,下圖示出了有三路輸入、一路輸出的電阻矩陣電路。
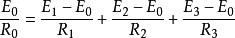
電阻矩陣電路上圖中,E、E、E為信號源,R、R、R為矩陣電阻,R為矩陣輸出電阻。如果要求E、E、E按k:k:k的比例形成輸出信號電壓E,而且電路滿足上述電阻矩陣電路的基本要求,則由上圖可得出以下關係:
編碼矩陣經過簡單的推導,可得到如下關係:
編碼矩陣
編碼矩陣
編碼矩陣
編碼矩陣
編碼矩陣
編碼矩陣
編碼矩陣
編碼矩陣式中, 為以常數。這時,E、E、E便以 : : 的比例組合稱輸出信號E,即 k:k:k= : : ,式中,k、k、k為矩陣係數。
編碼矩陣
編碼矩陣
編碼矩陣上圖中若E為基色信號R,E為基色信號G、E為基色信號B,且選擇 : :=0.30:0.59:0.11時,其輸出即為亮度信號Y。可見,三個矩陣電阻數值完全決定了三路信號混合的比例係數(矩陣係數),與R無關,因此,稱為矩陣電阻。
編碼矩陣
編碼矩陣
編碼矩陣
編碼矩陣
編碼矩陣
編碼矩陣若用此矩陣電路形式組成色差信號R-Y時,使::=0.70:0.59:0.11,同時在G、B信號的輸人通路中各加入一個倒相器;組成色差信號B-Y時,使::=0.70:0.59:0.11,同時在R、G信號的輸入通路中各加入一個倒相器。
編碼矩陣的設計
編碼矩陣多個方法可用於將一個多類問題分解為多個二分類的子問題。對於k類問題,最簡潔的分解方法是利用個二分類器[Mayoraz,Moreira(1996)]。下表給出了一個四分類問題的緻密矩陣的例子。
一個四分類問題的緻密編碼矩陣對於一個七類問題,鑒於f=-f,不同的二分類器的總數為0.5(3 +1)-2 。換句話說,正的和負的類標的轉置產生同樣的分類器[Mayoraz,Moreira(1996)]。其中,2 —1同時包含所有的類,即它們僅有類別標識+1和-1,而沒有0的選項。包含這樣的分類器的一個四分類問題的編碼矩陣的例子如下表所列。
一個四分類問題的編碼矩陣下面ECOC矩陣的策略,即具有糾錯能力的編碼矩陣,以及其他獲得編碼矩陣的策略。
除非特別說明,以下的內容均採用二分類編碼矩陣,即矩陣的每項僅從+1和-1中取值。
Dietterich和Bariki[Dietterich,Bariki(1995)]認為在設計ECOC矩陣時,為確保糾錯能力必須具備兩個條件:行可分;列可分。
其中可分性通過海明距離來度量,等於不同位串間的差異。
還要避免常數列(僅包括正項或負項),因為它們不能表示一個二元決策問題。
編碼矩陣
編碼矩陣
編碼矩陣令d表示中任一成對行之間的最小海明距離。最終的ECOC多類分類器能夠對二分類器的輸出的糾錯能力至少為。因此,按照海明距離,每個包含個錯誤的不正確的分類都存在一個整體與正確類別碼書之間的偏差,而最鄰近的碼書就是正確的類另lJ[Dietterich,Bakiri(1995)]。這就是為什麼要求行可分的原因。按照這一原理,1AA編碼就不具有任何糾錯能力,因為d=2。列可分在設計電信領域的糾錯編碼時也是必需的[Alba,Chicano(2004)]。
編碼矩陣除了以上的要求,二分類器的誤差必須是不相關的,以便在解決多類問題時可獲得好的糾錯編碼。為了滿足這一條件,必須是列可分的,即中任一成對列之間的海明距離必須足夠大。如果在學習算法中,正的和負的類標的轉置產生同樣的分類器(f=-f),則每列與其他列之間的海明距離必須是最大的。
基於以上的討論,Dietterich和Bariki fDieRefich,Bariki(1995)]提出了4種技術用於設計具有好的糾錯能力的編碼矩陣。選擇哪種技術取決於多類問題的類別數。但是對於哪種方法適用於多少類別並沒有嚴格的規定。
對於k≤7,建議採用窮舉編碼。第一行(第一類的碼書)僅取值+1。所有其他行輪流取2 個正值和負值,i為行的數目。下表展示了四類問題的窮舉編碼矩陣的示例。
一個四分類問題的緻密編碼矩陣如果8≤k≤11,建議採用一個從窮舉編碼中選擇列的方法。
如果k>11,有兩個選項:一個是基於爬山算法的方法:另一個是BCH生成(Bose-Chaudhuri and Hocquenghem)編碼方法[Boser,Ray-Chaudhuri(1 960)]。
BCH套用多項式函式來設計接近最優的糾錯編碼。BCH編碼的一個問題是不能確保好的列可分。另外,如果類別數不是2的冪次方,則為了保持好的行和列的可分性,必須通過移動行(也可能是列)來縮短編碼。
Pimenta和Gama[Pimenta,Gama(2005)]提出了一個算法用於設計ECOC,獲得了比傳統分解方法更好的預測性能,他們採用決策樹(DTs)[Quinlan(1986)]和SVMs算法作為基分類器。他們採用一個函式,按照其糾錯能力來評估ECOC的性能。一個疊代破壞算法(PA)被用來構建ECOC,該算法通過對初始ECOC增加或者移除列來最大化性能函式。
編碼矩陣
編碼矩陣
編碼矩陣一個好的ECOC是最大化碼書間的最小海明距離的編碼。因此,定義了一個線性函式,其中,。此線性函式表示給定的k(類別數)和e(碼書長度)的最小海明距離。因為海明距離是整數值,所以支持函式a(k,e)被定義為y(k,e)的下界取整。基於此支持函式,可定義一個ECOC的性能函式q(k,e1(假設W,B,B+滿足W<B<B+)。
(1)當ECOC的最小海明距離低於支持函式a(k,e)的程度大於距離1時,q(k,e)=W。
(2)當ECOC的最小海明距離低於支持函式a(k,e)的程度小於距離1時,q(k,e)=B。
(3)當ECOC的最小海明距離等於或大於支持函式a(k,e)時,q(k,e)=B+。
Pimenta和Gama[Pimenta,Gama(2005)]對比了拒斥算法(RA)和破壞算法(PA)的性能。RA對一個評價函式進行最大化,當d增加時該函式的值變大。由於在設計一個ECOC時不要求行可分,所以評價函式被用來懲罰具有相同或互補列的矩陣。另外,遺傳算法(GAs)被用來設計編碼矩陣,用於最大化評價函式。RA用於GA的變異步驟中。實驗對比研究表明,PA在發現有效的ECOCs時的性能更好,這裡的性能度量標準是看是否能避免相同的、互補的以及常數的列:而RA的性能比較差。在可產生有效的ECOCs的方法中,PA總體上都完成得比較好,可獲得按照Pimenta和Gama所提出的評價函式來度量的高質量的ECOCs。Pimenta和Gama還提出了一個方法用於確定ECOC中的列的數目(分解中所用的分類器的個數)[Pimenta,Gama(2005)]。該方法通過考查一個評價函式來實現,此評價函式是基於不同大小的ECOC可糾錯的數目來構建的。
一些研究隨機設計的ECOC即可獲得好的多類預測’Ni胄E[Berger(1999);Windeatt;Ghaderi(2003);Tapia,et a1.(2003)]。Allwein等人[Allwein,et a1.(2000)]比較了兩種隨機設計的編碼矩陣:緻密的和疏鬆的。在緻密編碼矩陣的實驗中,產生10000個隨機編碼矩陣,每個矩陣有[10xlog(k)]列,並且矩陣的每項以同等的機率取值為-1或+1。按照Dietterich和Bariki [Dietterich,Bariki(1995)]的建議,具有更高的d並且沒有相同或互補列的矩陣被選中。在疏鬆編碼矩陣的實驗中,採用三元字元編碼,矩陣的列數為[15log(k)],矩陣中每項取值為0的機率為0.5,取值為+1或-1的機率為0.25。同樣產生10000個隨機編碼矩陣,並選擇具有最高的d值的矩陣。
Berger [Berger(1999)]給出了關於隨機矩陣之所以取得較好性能的統計意義的綜合的評論。該評論認為,從理論上來說隨機矩陣具有較好的行和列的可分性,尤其是當矩陣的列數增加時。然而,他也在評論中假定個體分類器的誤差是不相關的,這一假定在實際套用中並不現實。
編碼矩陣Windeatt和Ghaderi [Windeatt,Ghaderi(2002)]也注意到了等距編碼矩陣的價值。在等距編碼中,各行之間的海明距離基本上是個常數。他們的實驗表明,如果是一個等距編碼矩陣,則不同行的+1的個數的相等的,並且任一成對行之間的共同的+1的個數也是相等的。他們利用這一思想來從BCH編碼中選擇一個行的子集,進而產生等距編碼。他們從實驗上驗證了當採用多層感知器(MLP)和神經網路(NNs) [Haykin(1999)]作為基分類器,等距編碼在採用較短的編碼(更少的列)時,其性能要優於1AA和隨機編碼。隨著編碼的長度的增加,等距編碼的優勢就不再明顯,此時更傾向於採用隨機編碼。
機器指令編碼矩陣
編碼矩陣表中:
編碼矩陣