強化規律(hardening rule)是屈服面(見屈服條件)的大小、形狀和位置的變化規律。塑性變形對應於微觀上的位錯運動。在塑性變形過程中不斷產生新的位錯,位錯的相互作用提高了位錯運動的阻力。這在巨觀上表現為材料的強化,在塑性力學中則表現為屈服面的變化。各種材枓的強化規律須通過材料實驗資料去認識。利用強化規律得到的載入面(即強化後的屈服面)可用來導出具體材料的本構方程。
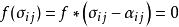
強化規律強化規律比較複雜,一般用簡化的模型近似表示。目前廣泛採用的強化摸型是等向強化模型和隨動強化模型。等向強化模型假設,在塑性變形過枵中,載入面作均勻擴大,即載入面僅決定於一個強化參量q。如果初始屈服面是,則等向強化的載入面可表為:
強化規律
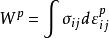
強化規律式中為應力分量:C(q)是強化參量q的函式。通常q可取為塑性功
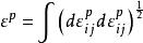
強化規律或等效塑性應變
強化規律
強化規律
強化規律
強化規律式中為塑性應變的增量;式中重複下標表示約定求和。隨動強化模型假設,在塑性變形過程中,載入面的大小和形狀不變,僅整體地在應力空間中作平動。以代表載入面移動矢量的分量,則載入面可表為
強化規律
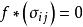
強化規律式中可取,A為常數。對於多數實際材枓,強化規律大多介於等向強化和隨動強化之間。在載入過程中,如果在應力空間中應力矢量的方向(或各應力分量的比值)變化不大,則等向強化模型與實際情況較接近。由於這種模型便於數學處理,所以套用較為廣泛,隨動強化模型考慮了包辛格致應,可套用於循環加栽和可能反向屈服的問題中。
為了簡化計算,常常將強化模型作某些簡化。例如,在等向強化模型中,C(q)可進一步假設是塑性功的線性函式或冪次函式,所得到的模型分別稱為線性強化模型和冪次強化模型 。

