原理
弦截法
弦截法
弦截法
弦截法方程 實數解 的幾何意義是曲線 與 軸交點的橫坐標。
弦截法
弦截法
弦截法
弦截法
弦截法弦截法的原理是 以直代曲即用弦(直線)代替曲線求方程的近似解,也就是利用對應的弦 與 軸的交點橫坐標來作為曲線弧 與 軸的交點橫坐標 的近似值。
疊代
確定含根區間
弦截法
弦截法
弦截法
弦截法
弦截法若 在區間 上連續, ,則稱區間 為方程 的含根區間。
弦截法的近似根公式
弦截法
弦截法
弦截法
弦截法
弦截法
弦截法
弦截法
弦截法
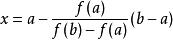
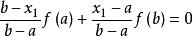
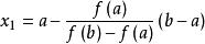
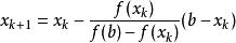
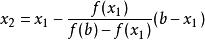
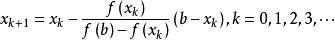
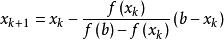
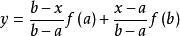
弦截法由於過 和 兩點的直線 的方程為 ,將直線與 軸交點的橫坐標 取作方程 在含根區間 上解 的近似值。
疊代必要性
弦截法
弦截法使用弦截法是可以得到方程 在含根區間 上的近似解。但是只用一次弦截法得到近似解誤差可能相當大,精度可能不能滿足要求。所以要根據第一次弦截法的結果進行再次、多次疊代。
弦截法
弦截法
弦截法
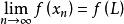
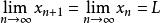
弦截法當函式 滿足了一定的條件後,經過逐次疊代得到的近似解數列 是收斂,且收斂於方程的解 ,根據極限的思想, ,經過有限次疊代就能滿足精度要求的近似解。
疊代規則
進行多次疊代的本質是反覆“ 縮小的含根區間,新的 縮小的含根區間上求新的近似根 ”。
疊代的操作規則是
弦截法
弦截法
弦截法
弦截法(1)記第 次弦截法下的近似根為 ,如果 ,那么 就是方程的根,疊代結束。
弦截法
弦截法(2)如果,根據 的正負號按新求出照如下規則操作:
弦截法
弦截法
弦截法
弦截法
弦截法
弦截法
弦截法
弦截法如果 ,則將 記為 (將 賦值給 ),反之將 記為 ,可以得到新的縮小了的含根區間 。
弦截法
弦截法(3)判斷精度要求是否得到滿足,如果 ( 為給定的精度要求),疊代結束。
弦截法
弦截法(4)如果精度要求沒得到滿足,那么在新的含根區間上繼續用弦截法求出次近似解
弦截法如此循環反覆,直到滿足要求。
特殊條件下的疊代公式
弦截法
弦截法
弦截法
弦截法
弦截法
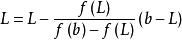
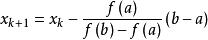
弦截法若函式在區間上連續,,且,取作為初始近似解,那么弦截法的疊代公式為
弦截法
弦截法
弦截法這是因為對於每次疊代得到的總是有,新的含根區間右端點始終不變,左端點不斷更新。
充分條件
弦截法
弦截法
弦截法
弦截法
弦截法
弦截法若函式 在區間 上連續, , 且 ,取 ,那么
(1)弦截法的疊代公式為
弦截法
弦截法(2)數列 收斂;
弦截法
弦截法
弦截法
弦截法(3)數列 收斂於方程 在區間 上的唯一實數根 。
弦截法
弦截法
弦截法
弦截法
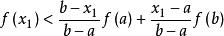
弦截法證明 第一次弦截法是取以 和 為端點的弦 與 軸交點的橫坐標為方程 的第一次近似解
弦截法
弦截法這裡有 。由凸函式性質可知
弦截法
弦截法
弦截法
弦截法而 ,所以 ,由函式單調性可得 。
弦截法
弦截法
弦截法於是得到方程新的含根區間為 ,及新的近似解 。
弦截法
弦截法
弦截法利用數學歸納法(從略)可得: , ,
弦截法以及 。
弦截法
弦截法
弦截法
弦截法於是可知數列 是單調增加有上界,所以收斂。設其極限為 ,即 ,根據函式的連續性又可知 。
弦截法
弦截法
弦截法
弦截法
弦截法
弦截法
弦截法在等式 兩邊同求極限得, ,即可得 。證得數列 收斂於方程 在區間 上的唯一實數根 。
C語言代碼
//弦截法求x*x*x-5*x*x+16*x-80=0的根
求x^3-5x^2+16x-80的值:
#include<math.h>
#include<stdio.h>
float f(float x)
{ //計算f(x)的值
return x*(x*x-5*x+16)-80;
}
float point(float x1,float x2)
{
//計算與x軸交點的x值
return (x1*f(x2)-x2*f(x1))/(f(x2)-f(x1));
}
void main()
{
//輸入兩個數x1,x2
float x1,x2,x;
do
{
printf("輸入兩個數x1,x2:");
scanf("%f%f",&x1,&x2);
}
while (f(x1)*f(x2) >= 0); // 當輸入兩個數大於0為真時,繼續重新輸入
//關鍵循環步驟:
do
{
x=point(x1,x2);//得到交點的值
if(f(x)*f(x1)>0)
x1=x;//新的x1
else
x2=x;
}
while (fabs(f(x)) > 0.0001); //0.0001為取值精度
printf("一個解為%f\n",x);
}
定義函式
function y=f(t)
y=f(t); %函式f(t)的表達式
主程式
i=0; %疊代此處記數
t1=t1; %疊代初值t1
t2=t2; %疊代初值t2
while i<=100;
y=t2-f(t2)/(f(t2)-f(t1))*(t2-t1); %弦截法疊代格式
if abs(y-t2)>10^(-6); %收斂判據
t1=t2;
t2=y
else break
end
i=i+1;
end
fprintf('\n%s%.6f\t%s%d%','泡點溫度t=",y,"疊代次數i=",i)%輸出結果

