定義
幾乎處處收斂
幾乎處處收斂定義在測度空間上的函式列及f,如果
幾乎處處收斂
幾乎處處收斂
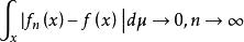
幾乎處處收斂則稱平均收斂於f,記為。
幾乎處處收斂假若下面的關係式成立:對任意,
幾乎處處收斂
幾乎處處收斂
幾乎處處收斂
幾乎處處收斂
幾乎處處收斂則稱依測度 μ 收斂(convergence in measureμ)於 f,記為。若在X的一個測度為0的子集外,對,均有
幾乎處處收斂
幾乎處處收斂
幾乎處處收斂則稱則稱關於測度μ 幾乎處處收斂於 f ,記為。
收斂比較定理
由平均收斂可得以下的收斂比較定理(comparison theorem for convergence):
幾乎處處收斂(1);反之不真;
幾乎處處收斂(2);
幾乎處處收斂(3)。

