平息債券的定義
所謂平息債券指利息在到期時間內平均支付的債券。支付的頻率可能是一年一次、半年一次或每季度一次等。
平息債券的構成
平息債券價值由兩部分構成:一是未來所付利息的現值,二是未來所付本金的現值。"平息債券"。大多數由政府和企業發行的債券都屬於平息債券,不僅在到期日進行支付,在發行日和到期日之間也進行有規律的現金支付。
概述
平息債券=年付利息/年付息次數(P/A,必要報酬率/次數,次數*年數)+票面價值(P/S,必要報酬率/次數,次數*年數)
付息期無限小(不考慮付息期間變化)的時候:
溢價:隨著到期時間的縮短,債券價值逐漸下降。
折價:隨著到期時間的縮短,支付頻率的增加,債券價值逐漸上升。
平價:隨著到期時間的縮短,債券價值不變。
即:最終都向面值靠近。
債券付息期越短價值越低的現象,僅出現在折價出售的狀態。如果債券溢價出售,則情況正好相反。
分析:
分期付息債券的價值=利息的年金現值+債券面值的現值,隨著付息頻率的加快,實際利率逐漸提高,所以,債券面值的現值逐漸減小。
隨著付息頻率的加快:(1)當債券票面利率小於必要報酬率(折價出售)時,相對來說,利息較少,利息現值的增加小於本金現值減少,債券的價值下降。(2)當債券票面利率大於必要報酬率(溢價出售)時,相對來說,利息較多,利息現值的增加大於本金現值減少,債券的價值上升;(3)當債券票面利率等於必要報酬率(平價出售)時,利息現值的增加等於本金現值減少,債券的價值不變;
結論:
對於折價發行的債券,加快付息頻率,價值下降;
對於溢價發行的債券,加快付息頻率,價值上升;
對於平價發行的債券,加快付息頻率,價值不變。
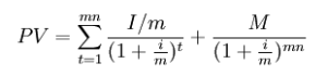
平息債券的定價模型
平息債券其中:PV為債券價值;m為每年付息次數;I為每年應付利息;n為到期時間的年數;i為每年的必要報酬率;M為面值或到期日支付額。

