債券的現值和終值
正文
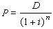
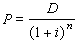
債券的即期價值和到期價值。債券的現值 債券最初發行時的發行價格;或債券到期前在市場上轉讓時,其發行價格與到期應償付本利和(終值)之間的數值。就未到期的債券而言,債券的現值為債券轉讓價格的理論值或公平值。債券流通市場的實際成交價格圍繞著債券的現值上下波動,是債券買賣雙方相互競爭的結果。購買者儘量要以不高於債券現值的價格購買,而轉讓者則儘量要以不低於債券現值的價格出售。債券的現值通常按複利計算,故又稱複利現值。其計算方法為,設P 代表現值,n代表未到期年,i代表年利率,D代表到期應收本息(即債券的終值),則有:



