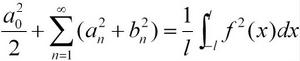
是收斂的,且成立等式:

該等式稱為帕賽瓦爾等式。

設f(x)可積且平方可積,則f(x)的傅式係數an 是收斂的,且成立等式: 該等式稱為帕賽瓦爾等式。

。1.地處亞平寧山脈的羅賽托·瓦爾弗特里(Roseto...2目錄序羅賽托之謎“那裡的人們都能活上一大把的年紀才死去。確實如此...牙買加人的故事3序羅賽托之謎“那裡的人們都能活上一大把的年紀才死去。確實...
其它樣本顯著區別開的可觀察到的統計量。1.地處亞平寧山脈的羅賽托·瓦爾弗... 1異類——不一樣的成功啟示錄2目錄序羅賽托之謎“那裡的人們都能活上...所有的朋友都畢業於KIPP結語一個牙買加人的故事3序羅賽托之謎“那裡...
帕秋莉與魔理沙• 第十一章 帕秋莉與魔理沙(二)• 第十二章 帕秋莉與魔理沙(三)• 第十三章 帕秋莉與魔理沙(四)• 第十四章 魅魔• 第... 少女的戰爭(二更)• 第四十九章 帕秋莉的潛力(三更求票票)• 第五十章...
小說導引 目錄