基本介紹
對角化
對角化
對角化
對角化
對角化
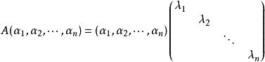
對角化對角矩陣是指只有主對角線上含有非零元素的矩陣,即,已知一個n×n矩陣 ,如果對於 ,則該矩陣為 對角矩陣。如果存在一個矩陣 ,使 的結果為對角矩陣,則稱矩陣 將矩陣 對角化。對於一個矩陣來說,不一定存在將其對角化的矩陣,但是任意一個n×n矩陣如果存在n個線性不相關的特徵向量,則該矩陣可被對角化 。
相關定理
對角化
對角化
對角化
對角化定理1 令 為n×n矩陣,其特徵值為 ,特徵向量為 ,形成線性無關集合,以每個特徵向量為列構成矩陣 ,如下所示。
對角化
對角化
對角化
對角化
對角化矩陣 可以將矩陣 對角化,乘積矩陣 的主對角元素是矩陣 的特徵值:
對角化
對角化
對角化
對角化
對角化
對角化
對角化反之,如果存在可逆矩陣 ,使 為對角矩陣,則矩陣 的列等於矩陣 的特徵向量, 的主對角元素為矩陣 的特徵值 。
對角化
對角化
對角化
對角化
對角化
對角化
對角化
對角化證明:首先計算矩陣乘積 。由於矩陣 的第j列對應特徵向量 ,則的第j列等於 。由於為特徵向量,則,矩陣乘積可寫為
對角化
對角化
對角化
對角化
對角化
對角化由於特徵向量線性無關,矩陣可逆,的表達式可寫為
對角化
對角化
對角化
對角化
對角化
對角化
對角化反之,也可證明,可將矩陣對角化的可逆矩陣 必定由的特徵向量組成。假設為n×n對角矩陣,且,其中 為n×n矩陣,有
對角化
對角化
對角化
對角化令表示矩陣 的第j列,為矩陣 D的主對角線上的元素,則矩陣乘積 AD的表達式如下:
對角化
對角化另,矩陣乘積 MA如下:
對角化
對角化
對角化
對角化令 AD的第j列等於 MA的第j列,則,因此是與特徵值對應的矩陣 M的特徵向量。 證畢。
對角化
對角化由於對稱矩陣 M的特徵向量是正交的,則以 M的單位長度的特徵向量為列構成的矩陣 是正交矩陣,因此。由對稱矩陣 M的特徵值組成的矩陣 D的表達式如下 :
對角化對角矩陣
定義
對角矩陣(diagonal matrix)是一個主對角線之外的元素皆為0的矩陣。對角線上的元素可以為0或其他值。對角線上元素相等的對角矩陣稱為數量矩陣;對角線上元素全為1的對角矩陣稱為單位矩陣。
(1)對角矩陣形如:
對角化
對角化(2)對角矩陣可以記作:。
對角化
對角化(3)當時,對角陣稱為數量矩陣。
對角化
對角化(4)當時,叫做單位矩陣,記作E,有。
運算規律
和差運算
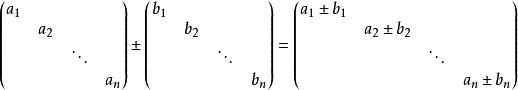
同階對角陣的和、差仍是對角陣,有:
對角化數乘運算
數與對角陣的乘積仍為對角陣,有:
對角化乘積運算
同階對角矩陣的乘積仍為對角陣,且它們的乘積是可交換的,有:
對角化矩陣相似於對角矩陣的條件
充要條件
n階矩陣A相似於對角矩陣的充要條件是A有n個線性無關的特徵向量。
證明過程:
(1)必要性。
設有可逆矩陣P,使得
對角化
對角化令矩陣P的n個列向量為,則有
對角化
對角化
對角化
對角化因而,因為P為可逆矩陣,所以為線性無關的非零向量,它們分別是矩陣A對應於特徵值的特徵向量。
(2)充分性。
對角化
對角化
對角化
對角化
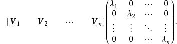
對角化由必要性的證明可見,如果矩陣A有n個線性無關的特徵向量,設它們為,對應的特徵值分別為,則有,以這些向量為列構造矩陣,則P可逆,且,其中C如下:
對角化
對角化即。
推論
若n階矩陣A有n個不同的特徵值,則A必能相似於對角矩陣。
說明:當A的特徵方程有重根時,就不一定有n個線性無關的特徵向量,從而未必能對角化。

