基本概述
射影
射影是物體在某平面或某空間形成的投影。
射影幾何
射影幾何是研究圖形的射影性質,即它們經過射影變換後,依然保持不變的圖形性質的幾何學分支學科。曾經也叫做投影幾何學,在經典幾何學中,射影幾何處於一個特殊的地位,通過它可以把其他一些幾何學聯繫起來。
射影坐標
這裡主要介紹以點為基本元素的平面上的射影坐標系,其他二維基本形或其他維的基本形上的射影坐標系與此相仿。 建立射影坐標系的方法很多,一般說來有幾何方法和解析方法。
建立方法
建立射影坐標系的方法很多,一般說來有幾何方法和解析方法。
幾何方法
它以射影幾何的基本不變數交比為基礎。
解析過程
射影坐標
射影坐標
射影坐標
射影坐標
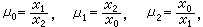
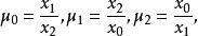
射影坐標設在射影平面 上取四點 , , 和 E,其中每三點不共線;前三點叫做射影坐標系的基點, E叫做麼點(單位點)。 設 p為 上任意點,作交比
射影坐標
射影坐標
射影坐標
射影坐標
射影坐標
射影坐標
射影坐標
射影坐標
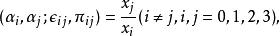
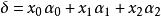
射影坐標式中 表示四條直線 , , E, p 的交比,其餘兩式相仿。不難證明, 。於是可以令:
射影坐標
射影坐標
射影坐標
射影坐標
射影坐標
射影坐標
射影坐標
射影坐標
射影坐標
射影坐標
射影坐標而 就是 p點的齊次射影坐標。 , , 和 E的坐標依次是 。在射影坐標系裡,任意直線的方程是含 的線性齊次方程。特殊地, , , 的方程依次是 。
射影坐標若用擴大歐氏平面或擴大仿射平面代替射影平面,通過上述方法所得的就是擴大平面上的射影坐標系。在歐氏平面或仿射平面上,先建立笛卡兒坐標系,則在擴大平面上的齊次笛卡兒坐標系可以看作擴大平面上一種特殊的射影坐標系,其基點是笛卡兒坐標系的原點和兩條坐標軸上的無窮遠點,而麼點則是具有非齊次坐標 的點。
在射影直線 p上和三維射影空間 p里也可以建立射影坐標系。 在 p上取三個不同的點 A0, A1和E。若 p為 p上任意點,令交比:
射影坐標
射影坐標就得到 p的射影坐標( x0, x1)。
射影坐標
射影坐標
射影坐標
射影坐標
射影坐標
射影坐標
射影坐標
射影坐標
射影坐標在 里,取五點 ,其中每四點不共面。取以 為頂點的四面體, 令 為頂點 的對面, 為棱 Aj Aj的對棱,而 , 依次為 和 E, p所確定的平面( i, j=0,1,2,3)。令交比:
射影坐標
射影坐標
射影坐標則 是 p點的射影坐標。
解析方法
射影坐標
射影坐標先給出射影平面 p的解析定義。取有序非零三數組 或即三維矢(也稱向量)代表 p的點,而兩個非零矢 , η,若滿足關係 ξ= λ η,其中 λ為非零數量,就代表 p的同一點。三個線性相關的矢代表 p的共線點。
射影坐標
射影坐標
射影坐標
射影坐標
射影坐標
射影坐標
射影坐標
射影坐標
射影坐標
射影坐標在 p中取四點 A0, A1, A2, E,它們每三個不共線,並選取代表它們的矢量 , ,使 這樣, p中每一點 p的代表矢 ξ都可以寫成 的形狀,其中 不同時為零,而且代表 p的任意兩個矢都只差一個常數因子。就是 p點的射影坐標,這個坐標系的基點是 , , ,麼點是 E。顯然本身也是一項射影坐標。擴大歐氏(或仿射) 平面的齊次笛卡兒坐標是擴大平面上的一種特殊射影坐標系。以上兩種方法可以互相驗證。解析方法以及下面的線性變換法更容易推廣到其他類型的基本形。
線性變換方法
射影坐標射影坐標變換的解析表示是滿秩(非異)齊次線性變換。據此,可以得到射影坐標系的又一種建立方式。設在 p(或擴大歐氏平面,或擴大仿射平面)上已建立了齊次坐標 ,令
射影坐標
射影坐標則 是射影坐標。 這個坐標系的基點和麼點不難從變換方程求得。
三線坐標
射影坐標
射影坐標
射影坐標
射影坐標
射影坐標
射影坐標
射影坐標
射影坐標
射影坐標這是歐氏平面上非無窮遠點的射影坐標的度量解釋。設在歐氏平面上取一個三角形的頂點 ,,為射影坐標系的基點。若 E為三角形重心(即三條中線的匯合點),則一個非無窮遠點 p的射影坐標和有向三角形 , , 的面積成比例;若 E為三角形內心(內接圓心),則 p的射影坐標和它到三角形三邊 , , 的有向距離成比例。

