定理
富比尼定理若,
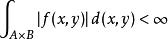
富比尼定理其中積分是關於空間的積測度,且 A和 B都是σ-有限測度空間,那么
富比尼定理,
前二者是在兩個測度空間上的逐次積分, 但積分次序不同; 第三個是在乘積空間上關於乘積測度的積分。
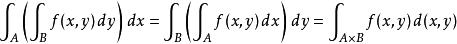
富比尼定理特別地, 如果,則
富比尼定理如果條件中絕對值積分值不是有限,那么上述兩個逐次積分的值可能不同。
套用
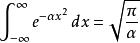
富比尼定理一個套用是計算高斯積分。高斯積分是很多機率論結果的基礎:
富比尼定理。

富比尼定理(英語:Fubini's theorem)是數學分析中有關重積分的一個定理,以數學家圭多·富比尼命名。富比尼定理給出了使用逐次積分的方法計算雙重積分的條件。在這些條件下,不僅能夠用逐次積分計算雙重積分,而且交換逐次積分的順序時,積分結果不變。
富比尼定理若,
富比尼定理其中積分是關於空間的積測度,且 A和 B都是σ-有限測度空間,那么
富比尼定理,
前二者是在兩個測度空間上的逐次積分, 但積分次序不同; 第三個是在乘積空間上關於乘積測度的積分。
富比尼定理特別地, 如果,則
富比尼定理如果條件中絕對值積分值不是有限,那么上述兩個逐次積分的值可能不同。
富比尼定理一個套用是計算高斯積分。高斯積分是很多機率論結果的基礎:
富比尼定理。
積分的定理(富比尼定理),至今仍是積分論中最重要的定理之一。 他的主要...富比尼,G. 正文義大利數學家,20世紀初義大利學派的領頭人...工程學院以及美國普林斯頓高等研究所任教授。 富比尼的工作涉及不連續群...
富比尼,G. 正文 配圖 相關連線圭多·富比尼是義大利數學家,最著名是他的富比尼定理。
數學定理列表(按字母順序排列) 以下列出了許多數學定理,供查閱與引用。
起又經以富比尼為首的義大利學派所發展。隨後,由於黎曼幾何的發展和愛因斯坦...斯基為代表的美國學派所發展,1916年起為以G.富比尼為首的義大利學派所...“極妙定理”。他說:“如果一個彎曲的曲面可展開到任何另外的曲面上去,則每點...
學科介紹 影響 產生 初始階段 黎曼幾何學的建立而趨於完善。 第一種是以G.富比尼為首的義大利學派的方法。試以曲面論...的方法確定x的比例因子,從而獲得 G.富比尼的規範坐標。 其次,按照規範...的美國學派所發展,1916年起又經以富比尼為首的義大利學派所發展。 隨後...
定義 影響 和分析學新的結合 其它學科的聯繫 高斯貢獻,複數集包含了實數集,因而是實數集的擴張。調和函式編輯定義:如圖所示:定理:如圖所示:對定理的證明過程,如圖所示:共軛調和函式:定義:如圖所示:定義的相關知識,如圖冊所示: 共軛調和函式關於定義的相關知識(4張)定理...
歷史 主要內容 產生 共軛複數 複數的輻角。富比尼定理給出了使用逐次積分的方法計算二重積分的條件。可以用曲面積分和曲線積分在曲面和曲線等流形上進行積分。基本定理在一元微積分中,微積分基本定理建立了導數與積分的聯繫。多元微積分中導數與積分之間的聯繫,體現為矢量...
歷史 多元函式 多元函式分析為首的漢堡學派奠定了仿射微分幾何基礎,他們的方法同射影微分幾何的富比尼...的基本定理。20年代末期的研究主要集中在仿射曲面論的幾何結構、仿射鑄曲面與仿...凸閉曲面的部分研究工作,也屬於微分幾何的範圍。 曲面論基本定理設是三維仿...
簡介 曲面論基本定理 仿射曲面論的幾何結構 仿射鑄曲面和仿射旋轉曲面維爾丁格(wirtinger)定理(93) 19. 富比尼-施圖迪...(14) 5. 全純函式的最簡單的性質(17) 6. 哈托格斯基本定理...(72)15. 柯西-龐加萊定理(77) 16. 麥克斯韋(maxwell...
內容簡介 作者簡介 目錄