定義
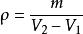
物體中任一點P的密度定義為:
密度 ,
密度 式中 V為包含P點的體積元;
密度計
橡膠密度計
密度 M為該體積元的質量。在厘米·克·秒制中,密度的單位為克/厘米;在國際單位制和中國法定計量單位中,密度的單位為千克/米。
密度的變化規律
密度 一般來說,不論什麼物質,也不管它處於什麼狀態,隨著溫度、壓力的變化,體積或密度也會發生相應的變化。聯繫溫度T、壓力p和密度ρ(或體積)三個物理量的關係式稱為狀態方程。氣體的體積隨它受到的壓力和所處的溫度而有顯著的變化。對於理想氣體,狀態方程為 ,式中R為氣體常數,等於287.14米(秒*開)。如果它的溫度不變,則密度同壓力成正比; 如果它的壓力不變,則密度同溫度成反比。對一般氣體,如果密度不大,溫度離液化點又較遠,則其體積隨壓力的變化接近理想氣體;對於髙密度的氣體,還應適當修正上述狀態方程。
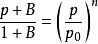
密度 固態或液態物質的密度,在溫度和壓力變化時,只發生很小的變化。例如在0℃附近,各種金屬的溫度係數(溫度升高1℃時,物體體積的變化率)大多在10左右。深水中的壓力和水下爆炸時的壓力可達幾百個大氣壓,甚至更高(1大氣壓=101325帕),此時必須考慮密度隨壓力的變化。R.H.科爾建議採用下列狀態方程:
式中, p是一個大氣壓下水的密度。若 和 取作7和3000大氣壓,則一直到10大氣壓,上述公式和實測數據的誤差都在百分之幾的範圍內。
就整個自然界而言,特大的壓力會使某些天體中物質的密度與常見密度相差懸殊。
密度與生活
人體的密度僅有1.02 g/cm³,只比水的密度多出一些。汽油的密度比水小,所以在路上看到的油漬,都會浮在水面上。海水的密度大於水,所以人體在海水中比較容易浮起來。(死海海水密度達到1.3g/cm³,大於人體密度,所以人可以在死海中漂浮起來。)
套用
科學上
1.鑑別組成物體的材料。
密度是物質的特性之一,每種物質都有一定的密度,不同物質的密度一般是不同。因此我們可以利用密度來鑑別物質。其辦法是是測定待測物質的密度,把測得的密度和密度表中各種物質的密度進行比較,就可以鑑別物體是什麼物質做成的。
2.計算物體中所含各種物質的成分。
3.計算很難稱量的物體的質量或形狀比較複雜的物體的體積。
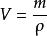
根據密度公式的變形式:m=Vρ或 V=m/ρ,可以計算出物體的質量和體積,特別是一些質量和體積不便直接測量的問題,如計算不規則形狀物體的體積、紀念碑的質量等。
4 .判定物體是實心還是空心。
判定物體是空心的還是實心的,一般有以下三種方法 :
(1)根據公式,求出其密度 ,再與該物質密度ρ比較,若 m時,則該物體為空心,若m=m,則該物體為實心。
5.計算液體內部 壓強 以及 浮力 等。(密度也可以計算柱體壓強)
6. 鑑別未知物質
“氬”就是通過計算未知氣體的密度發現的。經多次實驗後又經光譜分析,確認空氣中含有一種以前
不知道的新氣體,把它命名為氬。
農業上
對於密度是一個重要的依據。在農業上可用來判斷土壤的肥力,含腐殖質多的土壤肥沃,其密度一般為2.3×10³千克/米³。我們在選種時可根據種子在水中的沉、浮情況進行選種:飽滿健壯的種子因密度大而下沉;癟殼和其他雜草種子由於密度小而浮在水面。在工業生產上如澱粉的生產以土豆為原料,一般來說含澱粉多的土豆密度較大,故通過測定土豆的密度可估計澱粉的產量。
工業上
工廠在鑄造金屬物之前,需估計熔化多少金屬,可根據模子的容積和金屬的密度算出需要的金屬量。
測量方法
【實驗原理】
密度 【實驗器材】
天平、量筒、水、金屬塊(小)、細繩。
【實驗步驟】
1.用天平稱出金屬塊的質量m。
2.往量筒中注入適量水,讀出體積為V
3.用細繩系住金屬塊放入量筒中,浸沒,讀出體積為V
【計算表達式】
比重杯法
【實驗器材】
燒杯、水、金屬塊(大)、天平。
【實驗步驟】
1.往燒杯裝滿水,放在天平上稱出質量為 m;
2.將金屬塊輕輕放入水中,溢出部分水,再將燒杯放在天平上稱出質量為m;
3.將金屬塊取出,把燒杯放在天平上稱出燒杯和剩下水的質量m。
【計算表達式】
ρ=ρ水(m2-m3)/(m1-m3)
阿基米德定律
【實驗器材】
彈簧秤、金屬塊、水、細繩。
【實驗步驟】
1.用細繩系住金屬塊,用彈簧秤稱出金屬塊的重力G;
2.將金屬塊完全浸入水中,用彈簧秤稱出金屬塊在水中的視重G/;
【計算表達式】
ρ=Gρ/(G-G/)
浮力法1
【實驗器材】
木塊、水、細針、量筒。
【實驗步驟】
1.往量筒中注入適量水,讀出體積為V;
2.將木塊放入水中,漂浮,靜止後讀出體積 V;
3.用細針插入木塊,將木塊完全浸入水中,讀出體積為V。
【計算表達式】ρ=ρ(V-V)/(V-V)
浮力法2
【實驗器材】
刻度尺、大燒杯、水、小燒杯、小石塊(ρ>水)
【實驗步驟】
1.在大燒杯內放入適量水,再將小燒杯杯口朝上輕輕放入,讓其漂浮,用刻度尺測出大燒杯中水的高度h
2.將小石塊輕輕放入小燒杯中(此時小燒杯應漂浮),用刻度尺測出大燒杯中水的高度h
3.將小石塊從杯中取出,放入水中,用刻度尺測出大燒杯中水的高度h
【計算表達式】
ρ=ρ(h-h)/(h-h)
密度計法
【實驗器材】雞蛋、密度計、水、鹽、玻璃杯。
【實驗步驟】
1.在玻璃杯中倒入適量水,將雞蛋輕輕放入,雞蛋下沉;
2.往水中逐漸加鹽,邊加邊用密度計攪拌,直至雞蛋懸浮,用密度計測出鹽水的密度即等到於雞蛋的密度。
實物微粒
量子力學明確指出,對於實物微粒,密度ρ的含義是該粒子在空間任一微小區域(數學術語是“體積元”)里出現的機率,即機率密度。
密度與浮力
物體在水中
ρ
ρ= ρ,物體懸浮
ρ>ρ,物體沉底(下沉)
對於任何液體
ρ
ρ= ρ,物體懸浮
ρ>ρ,物體沉底(或下沉)
當ρ物體≤ρ液時(物體漂浮或懸浮)
物體在水中的體積:物體的體積=ρ:ρ
當ρ= ρ(物體)懸浮時,物體在水中的體積:物體的體積=1:1
常見物質密度
(在常溫常壓下,單位g/cm)
液體
水銀(汞)13.6
植物油0.9
酒精0.8
水(4℃)1.0
煤油0.8
乙醇0.79
汽油0.75
液氦0.1252
固體
泡沫塑膠0.01~0.03
銅8.9
鐵7.8
白口鑄鐵7.40~7.70
灰口鑄鐵6.60~7.40
可鍛鑄鐵7.20~7.40
鑄鋼7.80
玻璃2.4~2.8
石蠟0.9
乾松木0.5
木材0.4~0.9
冰0.9
鉛11.3
銀10.5
鉻鉬鋁鋼7.65
鋅7.10
銅8.9
高強度合金鋼7.82
工業純鐵7.87
鋰0.534
鉀0.87
鈉0.97
碳素工具鋼7.85
銣1.53
鈣1.55
鎂1.74
白磷1.83
鈹1.85
銫1.87
黃色砷2.0
純鋁2.70
硫2.07
紅磷2.20
鋨22.6
鉻鎳鎢鋼7.80
鎳鉻合金8.72
普通碳素鋼7.85
易切鋼7.85
鑄鎂1.80
鈹青銅8.30
優質碳素鋼7.85
錳鋼7.81
軸承鋼7.81
鑄鋅6.86
氣體
氫氣0. 00009
氦氣0. 00018
氖氣0. 00090
氮氣0. 00125
氧氣0. 00143
氟氣0. 001696
氬氣0. 00178
臭氧0. 00214
氨氣0. 00077
氪氣0.00374
氙氣0. 00589
氡氣0. 00973
煤氣0. 00060
一氧化碳0. 00125
氯氣0. 00321
溴0. 00714
硫化氫0.00154
氯化氫0. 00164
甲烷0. 00078
氧化氮0. 00134
硫化氫0. 00154
乙炔0. 00117
乙烷0. 00136
丙烷0.00201
丙烯0.00192
二氧化碳0. 00198
二氧化硫0.00293
碘化氫0.00566
一氧化二氯0.00389
一氧化二氮0.00198
溴化氫0.0350
空氣0.00129
物理學知識2
| 物理學(PHYSICS)是研究物質世界最基本的結構、最普遍的相互作用、最一般的運動規律及所使用的實驗手段和思維方法的自然科學,簡稱物理。物理學是人們對無生命自然界中物質的轉變的知識做出規律性的總結。 |

