簡介
C.E.仙農於1961發表了“雙向通信道”一文,開創了多用戶信道的理論。隨著通信的發展,該理論已成為資訊理論的一個重要分支。常見的多用戶信道有,多個用戶向同一信宿送信的信道(如多個地球站共用一個衛星的上行線路組),一個用戶向多個用戶同時送信的信道(如衛星轉信的下行線路組及各種廣播系統)等。由這些基本的多用戶信道,可組合成複雜的多用戶通信網,如計算機匯流排網。多用戶信道理論也是主要研究信道容量、編碼定理和編解碼方法。多用戶信道容量是多維空間中一個凸域的外凸包絡。以兩用戶接入信道為例,信道的兩個輸入為x1∈X1,x2∈X2,傳信率分別為R1和R2,信道輸出為Y。接收者要從Y提取有關用戶1和2送的信息,若信道轉移機率為
圖1其中I(XlX2|Y),I(Xl;Y|X2)和I(X2;Y|X1)分別為信道輸入和輸出之間的互信息和條件互信息,E1和E2是信道允許輸入集的機率分布Q1(x)和Q2(x)的集。改變Q1(x)和Q2(x)可以增大Y與X1和X2的互信息,但其最大值不可能超過所定義的凸域的外包絡 C1ABC2,即信道容量的界限,如圖所示。各類多用戶信道的容量和編碼定理已經或者正在得到定義和證明,其中多用戶接入信道的理論結果最多。至於這類信道的構造性編碼問題,僅對多用戶接入信道和個別廣播信道有些具體結果。多用戶信息理論正在發展中。
分類
多用戶信道可以分成三種最基本的類型:多址接入信道、廣播信道和相關信源的多用戶信道。2.1 多址接入信道
多址接入信道模型是兩個編碼器將兩個信源的信源符號和經編碼變成適合於信道傳輸的輸入信號和,信宿端的解碼器把信道輸出的信號譯成相應的信源符號1?U和2?U,如果傳輸無誤,則U1=1?U,U2=2?U。
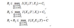
U1傳送至信宿變成1?U的傳送率為R1,表示從Y中獲得的關於X1的平均信息量,也就是R1=I(X1;Y),如X2已知,則此時可排除X2對X1的傳輸干擾,使R1達到最大值。故有:R1<=max I(X1;Y/X2) (2.8.1)
上式表示,如果改變編碼器1和編碼器2,從而使得X1和X2能夠獲得最佳機率分布,即有最合適的p(X1),p(X2),就可以使式(2.8.1)右邊的平均條件互信息量達到最大值,稱這個最大值為條件信道容量C1:C1=max I(X1;Y/X2)(2.8.2)
從前面的內容可知,從Y獲得的關於X1,X2的平均信息量為:
圖2I(X1X2;Y)=H(Y)-H(Y/X1X2)(2.8.3)
現在來證明,當X1和X2相互獨立時,有:max(C1,C2)≤C12≤C1+C2(2.8.6)
歸納一下可得二址信道傳信率和信道容量之間的關係如下:R1≤C1
R2≤C2
R1+R2≤C12
當X1和X2相互獨立時有:max(C1,C2)≤C12≤C1+C2
由上述條件可確定二址接入信道以R1,R2為橫,縱坐標所確定的二維空間中的某個區域,該區域的界限就是二址接入信道的容量。
2.2 廣播信道
現在來看最簡單的具有一個輸入端,兩個輸出端的多用戶廣播信道.
目前尚未有系統的方法象多址接入信道那樣改變p(x1)和p(x2)來求外凸包的上界,但一些特殊的情況(也是常見情況)可以證明達上界。例如一種降階的情況:其模型見圖2.8.5
可見降階的廣播信道有如兩個串聯的信道,Y1是信道1的輸出,Y2是信道2的輸出,其信道特性分別用p(y1/x)和p(y2/y1)描述,在這種情況下有如圖3 。
圖3信道2的輸出Y2隻與Y1有關,而不再與X直接有關,故有:
p(y2/y1x)=p(y2/y1)及H(Y2/Y1X)=H(Y2/Y1)由於Y2的條件機率密度與X無關(X在Y1的前面),故可以認為X,Y1,Y2構成一馬爾可夫鏈,所以有:I(X;Y1Y2)=I(X;Y1)
上式說明收到Y1,Y2後獲得的關於X的信息量,等於僅收到Y1後獲得的關於X的信息量,根據降階的廣播信道模型,即使丟棄Y2,僅根據p(y1/x)也可以獲得Y1關於X的信息量。注意到Y1僅與X有關,故可改變p(x)使I(X;Y1)最大,等效為使I(X;Y1Y2)最大,即求得R1+R2的最大值:
R1+R2≤I(X;Y1) (2.8.8)
然後再改變編碼器的輸入端p(u1)和p(u2)同時注意使得p(x)不變,並使
R1≤I(U1;Y1)=I(X;Y1/U2) (2.8.9)
R2≤I(U2;Y2)=I(X;Y2/U1) (2.8.10)
式(2.8.8),(2.8.9),(2.8.10)即是降階的廣播信道的信息率可達區域,也就是其容量的界限。
2.3 相關信源的多用戶信道
相關信源多用戶信道的模型中的交叉線表示信道1可傳向解碼器2,信道2可傳向解碼器1。
X1和X2是兩個具有相關性的信源,而
注意到兩信源有相關性,故有:H(X1)+H(X2)>H(X1,X2)為了無差錯地傳輸, 必須要:
C1>H(X1/X2)
C2>H(X2/X1)
C1+C2>H(X1,X2)
