簡介
壓縮模量
壓縮模量
壓縮模量
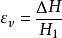
壓縮模量由於土體具有壓縮性的特點,在計算地基的沉降時,必須考慮在上部荷載作用下地基土中的應力分布情況對土體的壓縮過程的影響,所以土的壓縮性指標對於計算地基沉降十分重要。壓縮性指標通常由工程地質勘察取天然結構的原狀土樣進行側限試驗測定,根據側限壓縮試驗所得到的數據,在直角坐標系下,以孔隙比e為縱坐標,以有效應力p為橫坐標,繪製e-p曲線和e-logp曲線,並據此可以得到多個壓縮性指標,包括壓縮係數a、壓縮指數 以及壓縮模量 。根據壓縮性指數,可以判斷土的壓縮性。對於壓縮模量 來說, 越小,土的壓縮性越高,土質越鬆軟。
計算公式
壓縮模量
壓縮模量
壓縮模量
壓縮模量
壓縮模量
壓縮模量
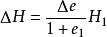
壓縮模量在側限壓縮試樣中,當豎向壓力由 增加到 ,同時土樣的厚度由 減小至 時,壓力增量 ,豎向應變為 ,則側向壓縮模量 。
壓縮模量
壓縮模量
壓縮模量
壓縮模量
壓縮模量
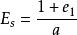
壓縮模量側限壓縮模量 與壓縮係數a有一定關係。由於 ,可以得到 ,由於 ,因此 。由於壓縮係數a可以根據側限壓縮試驗的e-p曲線得到,因此壓縮模量 也可以通過側限壓縮試驗求得。
套用
壓縮模量是判斷土的壓縮性和計算地基壓縮變形量的重要指標之一。
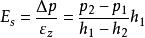
計算地基變形時,地基內的應力分布可採用各向同性均質線性變形體理論,其最終變形量為
壓縮模量
基礎沉降計算的分層示意
壓縮模量
壓縮模量
壓縮模量
壓縮模量其中,為沉降計算經驗係數;n為地基變形計算深度範圍內所劃分的土層數,如圖所示;為相應於作用的準永久組合時基礎底面處的附加壓力(kPa);為基礎底面下第層土的壓縮模量(MPa),應取土的自重壓力至土的自重壓力與附加應力之和的壓力段計算。

