概念
區別
土的壓縮模量:在完全側限條件下,土的豎向附加應力增量與相應的應變增量之比值,它可以通過室內壓縮試驗獲得。
土的彈性模量:土的彈性模量根據測定方法不同,可分為“靜彈模”和“動彈模”。靜彈模採用靜三軸儀測定。彈性模量為加卸載該曲線上應力與應變的比值。 動彈模,可用室內動三軸儀測得,當土樣固結後,分級施加動應力,進行不排水的振動試驗,一般保持動應力幅值不變,振動次數視工程實際條件而定可用雙曲線方程來描述,也稱切線彈模。
土的變形模量和壓縮模量,是判斷土的壓縮性和計算地基壓縮變形量的重要指標。由於兩者在壓縮時所受的側限條件不同,對同一種土在相同壓應力作用下兩種模量的數值顯然相差很大。三種模量的試驗方法不同,反映在應力條件、變形條件上也不同。壓縮模量是在室內有側限條件下的一維變形問題,變形模量則是在現場的三維空間問題;另外土體變形包括了可恢復的(彈性)變形和不可恢復的(塑性)變形兩部分。壓縮模量和變形模量是包括了殘餘變形在內的,與彈性模量有根本區別,而壓縮模量與變形模量的區別又在於是否有側限。在工程套用上,我們應根據具體問題採用不同的模量。
公式
為了建立變形模量和壓縮模量的關係,在地基設計中,常需測量土的側壓力係數ξ和側膨脹係數μ。
側壓力係數ξ:是指側向壓力δ與豎向壓力δ之比值,即:
ξ=δ/δ
土的側膨脹係數μ(泊松比):是指在側向自由膨脹條件下受壓時,測向膨脹的應變ε與豎向壓縮的應變ε之比值,即
μ=ε/ε
根據材料力學廣義胡克定律推導求得ξ和μ的相互關係,
ξ=μ/(1-μ)或μ=ε/(1+ε)
土的側壓力係數可由專門儀器測得,但側膨脹係數不易直接測定,可根據土的側壓力係數,按上式求得。
在土的壓密變形階段,假定土為彈性材料,則可根據材料力學理論,推導出變形模量E和壓縮模量E之間的關係。
令β= 1-2μ /(1-μ),則E=βE
當μ=0~0.5時,β=1~0,即E/E的比值在0~1之間變化,即一般E小於E。但很多情況下E/E 都大於1。其原因為:一方面是土不是真正的彈性體,並具有結構性;另一方面就是土的結構影響;三是兩種試驗的要求不同。
換算值
不同種類土的種類 μ和β值:
碎石土 0.15~0.20,0.95~0.90;
砂土 0.20~0.25,0.90~0.83;
粉土 0.23~0.31,0.86~0.72;
粉質粘土0.25~0.35,0.83~0.62;
粘土 0.25~0.40,0.83~0.47。
註:E與E之間的關係是理論關係,實際上,由於各種因素的影響,E值可能是βE值的幾倍。所以要注重實踐的學習,理論聯繫實際。
操作規程
1、放置荷載板和變形支架。
2、連線荷載和位移感測器。藍色插頭為荷載感測器,插入藍色插孔;黃色插頭為位移感測器插入黃色插孔。
3、按Start(開始)鍵打開機器。此時顯示時間和電量。
4、按Start(開始)鍵進入試驗模式。顯示(設備檢查),調整位移感測器到零位。此時,如果感測器連線有誤將出現錯誤提示。
5、荷載復位。按Start(開始)鍵提示預加荷載30s,並出現計時。用千斤頂預加0.01Mpa保持30s。
6、按Start(開始)鍵後施加第一級荷載0.08Mpa,保持60s或120s。
7、按Start(開始)鍵,根據表中數據施加其他荷載。
8、全部加荷卸荷再加荷結束“Print(列印)”鍵結束試驗,此時數據已被保存在數據卡上。
9、再按“Print(列印)”鍵可在現場列印試驗結果。
10、按“Aux Off”鍵關機。
取值及套用
圖 1 岩體變形模量和 GSI 的關係曲線在分析岩體變形特性時,岩體變形模量是一個非常重要的參數,一般要通過現場試驗來確定。但利用現場試驗直接確定岩體的變形模量時,存在時間長、代價高以及試驗結果可靠性差等問題。為解決這一問題,許多岩石力學專家提出了在岩體質量分級的基礎上,運用經驗公式估算岩體變形模量的方法。如套用岩體質量指標 RMR和 Q值等計算岩體的變形模量。這些經驗公式與野外試驗數據擬合較好,但運用經驗公式計算的整體塊狀岩體變形模量值都較低。為此,E. Hoek等在多年研究岩體經驗強度準則的基礎上,利用地質強度指標GSI(geological strength index)來計算岩體的變形模量。並經過多次修正於 2006 年在大量現場試驗數據分析的基礎上,建立了岩體變形模量與 GSI 之間的一種新關係。
岩體模量的經驗取值
表 1 模數比 MR 的選取
變形模量在對大量現場試驗數據分析的基礎上,E. Hoek和M. S. Diederichs利用了一種S型函式,即
式中:a,b,c 均為常量.
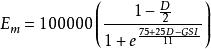
通過擬合(見圖1),建立了岩體變形模量E(MPa)和GSI間的關係,即
變形模量式中:D 為岩體擾動參數,主要考慮爆破破壞和應力松馳對節理岩體的擾動程度,從非擾動岩體的D = 0變化到擾動性很強岩體的D = 1。
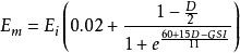
另外,利用完整岩石單軸抗壓強度σ和模數比MR(modulus ratio),建立了岩體變形模量和完整岩石變形模量的關係:
變形模量式中: Ei 完整岩石的變形模量,MR 為模數比,可按表1確定。
現場岩體變形試驗及結果對比
表2 根據現場試驗確定的不同風化岩體變形指標壩址區共進行了82組現場岩體變形試驗,包括不同風化、不同結構類型的花崗岩岩體。試驗主要在勘探平硐中進行,選定 2 m×2 m 範圍的試驗點位置,採用剛性承壓板法,運用 5 級逐級一次循環法進行原位試驗,試驗應力範圍為 3.0~10.0 MPa。將所有試驗點的變形模量值按岩體類型進行匯總,並採用點群統計法進行統計分析,得到不同風化程度岩體變形模量值(見表2)。
採用 GSI 方法估算得出的岩體變形模量與試驗得出的結果十分接近,這是由於在運用 GSI 法估算岩體變形模量時,只考慮岩體本身的變形特性,計算結果僅與GSI值和岩石單軸抗壓強度σ有關。因此,在現場工作中,通過對結構面的精細量測,可方便準確的估算出岩體的變形模量,為工程岩體的變形穩定性計算提供必要的變形參數。
研究結論
(1) 節理岩體的變形模量值可運用 E. Hoek 的最新經驗公式計算得到,不必要做大量的現場變形試驗,只要知道完整岩體的單軸抗壓強度σ和地質力學指標 GSI 值即可。
(2) 量化 GSI 系統的建立,使得地質力學指標GSI 的取值不只是一個範圍值,而是通過定量的描述岩體結構特徵和結構面表面特徵,用具體的量化指標進行取值。
(3) 在所有的量化參數中,體積節理數 Jv 是一個較難確定的值,在現場工作中應通過岩體結構面的精細量測,運用多種方法進行統計計算,綜合取值。
(4) 基於 GSI 系統的岩體變形模量的取值在工程中得到初步套用,效果較好,但還需要經過多個工程的實踐,並不斷總結和修正,以便進一步推廣套用。

