簡介
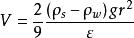
土壤顆粒大小與當量粒逕自然土壤的顆粒大小、形狀是千差萬別的,顆粒之間沒有截然的分界線,不可能實際測定每個土壤顆粒的粒徑。在土壤學上為了研究方便,把土壤顆粒的形狀、大小進行簡化,人為地把土壤顆粒的直徑看成理想的球體的直徑來對待,即土壤顆粒的大小往往用當量粒徑來代替,當量粒徑一般是根據司篤克斯定律(Stcoks's Law,1845)來定義的。司篤克斯定律(Stcoks's Law)的表達式如下:
土壤顆粒分級式中,V為土粒(圓球)沉降速率;ρs和ρw分別為土粒(圓球)和水的密度,各級七粒密度可實測之,或取常用密度值2.65g/cm ;ε為水的黏著係數,g為重力加速度,r為土粒(圓球)半徑。
套用
一般用與某粒級土壤顆粒沉降速率相同的圓球直徑代表土壤顆粒的大小。故稱之為當量粒徑(ewlvalent diameter),也稱為有效粒徑。司托克斯定律是假定土壤顆粒是光滑實心闐球·並且在水中的沉降是勻速直線下降的,這與實際情況相差甚遠,土壤顆粒的實際形狀是十分複雜的,有球狀的、片狀的,多數顆粒的形狀是不規則的,如土壤中的黏粒是片狀的。其沉降軌跡可能是非直線非勻速的。但在土壤學、土工學研究及套用中這種圓球堆積的“理想土壤"沿用已久,卡慶斯基在土壤機械分析中採用此定律(1937),到如今還為土壤學界普遍採用。
土壤顆粒分級制
土壤顆粒的大小不同,其成分和性質往往也不相同。
為了認識和研究的方便·按土粒大小和其特性將土壤顆粒分為若干組,稱為土壤粒級。
不同的土壤粒級,其保肥、供肥能力和吸附、固定有害金屬元素等污染物的能力均有很大差異。中國科學院南京土壤研究所和西北水土保持生物土壤研究所擬訂的我國土壤顆粒分級標準如下表。在建國前我國多採用國際制和美國制的分級標準。國際制分礫、粗砂、細砂、粉砂、粘粒五級;美國分礫、極粗砂、粗砂、中砂、細砂、極細砂、粉砂、粘粒、膠粒九級。建國後曾用蘇制分級標準,分為石塊、礫、粗砂、中砂、細砂、粗粉粒、中粉粒、細粉粒、粘粒九級。
目前對土壤礦質顆粒的分級還沒有完全統一的標準·主要的土壤顆粒分級制見表。幾種土壤顆粒分級的標準雖有差異。但主要的粒級範圍大致相近,4種粒級制把土壤顆粒分為石礫(cobble,gravel)、砂粒(sand)、粉粒(silt)和黏粒(clay)4個組,一般大於2mm(或1mm)的土壤顆粒稱為石礫;砂粒與粉粒的分界線為0.02mm或0.05mm;而黏粒直徑的上限為0.002mm。各級土壤顆粒的空間大小類比,最大與最小的顆粒粒徑相差可大於4個數量級、常見土壤顆粒的半徑在1mm到10 mm之間。
分級標準
土壤各粒級之間的界限劃分主要是根據粒級間顆粒的理化性質的轉折來確定的;但分級是按當量粒徑來劃分的,與實際土壤顆粒的大小是冇差異的;另外土壤有機質和測定顆粒組成時土壤顆粒的分散程度、溶液的溫度等都對土壤顆粒分級結果有影響。

