面積的由來
面積的概念很早就形成了。在古代埃及,尼羅河每年泛濫一次,洪水給兩岸帶來了肥沃的淤泥,但也抹掉了田地之間的界限標誌。水退了,人們要重新劃出田地的界限,就必須丈量和計算田地,於是逐漸有了面積的概念。
在數學上是這樣來研究面積問題的:首先規定邊長為1的正方形的面積為1,並將其作為不證自明的公理。然後,用這樣的所謂單位正方形來度量其他平面幾何圖形。較為簡單的正方形和長方形的面積是很容易得到的,利用割補法可以把平行四邊形的面積問題轉化為長方形的面積問題,進而可以得到三角形的面積。於是,多邊形的面積就可以轉化為若干三角形的面積 。
面積的單位
面積的單位一般有以下幾種:
平方米(平方厘米、平方分米)——國際標準單位
公畝——100平方米
公頃——10,000平方米
平方公里——1,000,000平方米
市制:
平方市里——0.25平方公里
平方市尺——1/9平方米
台制:
台灣甲——9,699.173平方公尺
坪——3.3058平方公尺
香港:
平方呎(平方英尺)
面積計算公式
A——面積 R——外接圓半徑 P——半周長 r一內切圓半徑 L——圓周長度 l——弧長
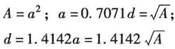
正方形:
圖形面積
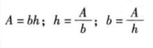
圖形面積長方形:
圖形面積
圖形面積平行四邊形:
圖形面積
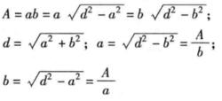
圖形面積三角形:
圖形面積
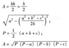
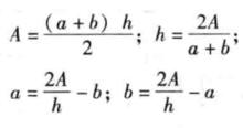
圖形面積梯形:
圖形面積
圖形面積正六角 形:
圖形面積
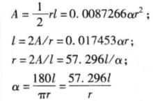
圖形面積扇形:
圖形面積
圖形面積圓:
圖形面積
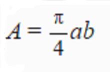
圖形面積橢圓:
圖形面積
圖形面積
