傳統面積量測方法
圖形面積量測是地籍測量及農業、林業、海洋等部門經常遇到的工作內容,目前量測面積的方法和儀器有解析法、格線法、平行線法、稱量法和數字長度面積儀、密度分割儀、光電掃描面積儀及機械求積儀、電子求積儀等多種 。
格線法
面積量測
面積量測用格線法量測圖形面積的誤差主要來源於目估破碎方格的估讀誤差。若使用方格面積為1mm 的格線板量測,按規定應估讀到0.1mm ,經過對937個圖斑量測結果的統計分析,其量算面積精度的回歸方程為:,經檢驗,在a=0.05的水平上,回歸關係顯著。以上對數式可簡化為以下近似公式:。式中:m為量測面積的中誤差,P為被量測圖形的面積 。
電子求積儀
電子求積儀又稱數字式求積儀,可分為定極式(kp-80)和動極式(kp-90)兩種類型。用電子式求積儀量測圖形面積時的誤差,主要來源於量測圖形時起終點不重合的誤差及跟蹤圖形周界時的描跡誤差。
面積量測用kp-80式求積儀,分別對26個圖形各量測30次,對其結果進行統計分析,可得到量算面積的回歸方程為:,式中:m為中誤差;P為被量測面積。經檢驗,在a=0.05的水平上回歸關係顯著 。
機械式求積儀
用機械求積儀量測而積時,其誤差主要來源為:①圖形量測誤差,其中包括讀數誤差、機械誤差、量測時描跡針起終點不重合的誤差和繞圖形周界時的描跡誤差。②求積儀的分劃值誤差。
面積量測對11個圖形各量測30次,並對其進行統計計算,其錄測面積的精度可近似用下式計算:,式中:m為量測面積中誤差;P為被量測圖形面積 。
數字長度——面積儀
面積量測數字長度——面積儀量測面積的誤差主要來源於光學瞄準器的跟蹤誤差和儀器的機械誤差,其量測面積的精度,可用以下近似公式計算:。式中:m為量測面積中誤差;P為量測面積 。
機助面積量測方法
我國地域遼闊,隨著自然資源調查工作的進一步開展,不僅要求及時測量、編制和出版大量精確的地圖,而且需要準確、迅速地從地圖上進行平面面積的量算,以便取得各種面狀要素的數據資料,例如在沙漠化災害監測評價中,快速量算不同時期各種類型的土地面積是評價中的重要內容。目前,在實用中,量算面積的方法和手段很多,如求積儀法、模片法、稱重法等,他們各有優缺點,而在地理信息系統支持下量測面積,與上述方法比較有明顯的優越性 。
這裡以毛烏素地區烏審旗幅流沙分布圖的面積量測為例。
編繪原圖
利用1:25萬比例尺的TM衛片,以人工目視判讀解譯的方法,編繪地圖。解譯過程和方法是,把製作好的1:25萬薄膜底圖覆蓋在TM衛片上,利用水系、較為明顯的特徵線和其它一些控制點,將解譯結果直接描繪在薄膜底圖上,這樣既省去了手工轉繪的過程,也能提高地類界線轉繪的精度。編圖的數學基礎為高斯投影 。
建立圖形資料庫
採用美國TEK公司掃瞄器Tektronix 4991S3將毛烏素地區的編繪原圖掃描輸入,並通過數據格式轉化程式將掃描的數據格式轉換成與ARC/INFO外部檔案相符合的數據輸入格式。然後由ARC的GENERATE及GENERATE的INPUT、LINES等命令產生圖形檔案資料庫。利用CLEAN命令對轉換後的圖形檔案進行自動排序、內插和建立多邊形拓撲關係及屬性檔案。行政區劃、居民地、交通要道等其它要素可用BUILD命令建立屬性檔案。運行CLEAN命令後,利用ARCEDIT程式對圖形進行修改編輯與分類編碼,形成圖形資料庫及屬性檔案 。
GIS疊合分析方法
給出以縣為基本單位統計的各類型圖斑的面積數據,是在GIS技術支持下,將行政區劃圖和沙漠化災害現狀圖做疊合處理。方法是:從地圖資料庫中查找並調出1:25萬縣級行政區劃圖,首先將行政區劃圖和毛烏素沙地範圍圖進行圖幅配準,然後進行疊合,疊合產生的新圖內容,其表現形式是兩張圖的相加,圖上的內容既有行政界線,也有專題內容各類型的範圍界線。但其實質是在資料庫中產生了新的多邊形數據,每個多邊形附帶了用戶定義的屬性碼,根據屬性碼對代表不同類型的圖斑的面積進行提取和統計,就能得出各種類型圖斑和面積數據 。
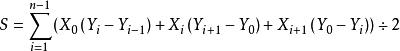
面積計算方法
面積量測計算面積是採用三角形面積公式: 式中,n為多邊形坐標對數目;S為多邊形面積;(X、Y)為多邊形坐標點集i=0,1,2,…,n-1 。
不同面積量測方法比較
1.機械式求積儀和電子求積儀只宜用於量測大於10cm 的圖形面積。
2.格線法宜用於量測0.5cm -10cm 圖形的面積,在缺少其它儀器和工具時,也可量測更大的圖形面積。
3.數字長度一面積儀的量測精度高於求積儀和格線法,不受圖形面積大小的限制,精度皆可滿足規範勢要求,但量測速度低於求積儀。
4.電子求積儀具有量測快、直觀、精度高的特點。對面積量算,可作平均值測量、累加測量、雙比例尺測量,測量數據可作暫時性保存。特別是量測次面積的圖形時比機械求積…儀優越。5.圖形面積大小各異時,可用求積儀量測大於10cm 圖形的而積,以提高工作效率。小於10cm 的圖形,可用其它方法量測,以保證精度,即採用混合法量測圖形的面積 。
5.計算機量算面積的投資最大,設備包括計算機、掃瞄器,價值大約為幾萬元到十幾萬元,但隨著計算機領域的高速發展,計算機的價格也正以較快的速度降低。設備投資次之的是求積儀法,一台日本株式會測機捨生產的KP-90N數字式求積儀大約2000多元。不需要設備投資的是格線法,只需一張印有1或2mm的互相垂直的直線網的透明膠片即可 。

