固體中的彈性波
正文
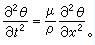
也叫固體中的應力波。它是固體中的一種機械波動,把固體中某一點或部分受力或其他原因的擾動引起的形變,如體積形變或剪下形變,以波動的形式傳播到固體的其他部分。在波動傳播過程中,固體中的質點除在它原來的位置上有微小的振動外,並不產生永久性的位移。因為固體有彈性,彈性力有使擾動引起的形變恢復到無形變的狀態的能力,於是形成波動。彈性是固體中能形成波動的主要原因。在各向同性無限大的固體中,可以有兩種類型的彈性波。一種是縱波,另一種是橫波。在各向同性無限大的固體中,縱波傳播速度為
(1)式(1)式中с1是固體中縱波的傳播速度,單位為m/s,ρ是固體媒質的密度,單位為kg/m3,μ┡和μ是有量綱的常數,常稱為拉梅常數,μ也稱為切變模量或切變彈性係數,E是彈性模量,σ 是泊松比。縱波在固體媒質中傳播時,常使固體的體積有交替的壓縮和膨脹,因此縱波又叫膨脹波。橫波在固體中傳播的速度是
(2)式 (2)式中сt是橫波傳播速度。橫波在固體中傳播時不引起體積變化。橫波又稱為切變波或鏇轉波。地震時在地殼中常引起縱波和橫波,即所謂P波和S波。因為縱波速度с1大於橫波速度сt, 所以地震時P波比S波早到遠離震源的觀測點。
在各向同性半無限的固體中,或一種固體與另一種固體的分界面處,波動入射在分界面上時除產生反射波和折射波外,還會引起波型的轉換,如圖1所示。AB代表兩種不同固體的分界面,NON┡為AB平面上的法線,如CO表示入射到AB平面上O點的平面縱波的波束,除在分界面處反射和折射而形成的反射縱波OD和折射縱波OF外,還轉換成反射橫波OE和折射橫波OG。入射角i、反射角γ和α、折射角β和γ的大小,與固體1和固體2中的波速有關,可用斯涅耳定律
(3)(3)求出。式中с11和с12是固體1和固體2中的縱波速度,сt1和сt2是固體1和固體2中橫波速度。
波在界面上的反射、折射和波型轉換如入射波為橫波,在考慮反射波和折射波時須注意入射橫波質點振動的方向。
在各嚮導性的固體,如晶體中,則沿不同晶軸方向傳播的縱波和橫波的速度也不同。
除各向同性無限固體中的縱波和橫波外,在有限固體中,因不同形狀和不同性質的界面的限制,還有其他類型的彈性波,如瑞利波、樂甫波和斯頓萊波等(見聲表面波)。
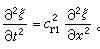
棒中彈性波 在固體棒中傳播的彈性波,因受棒的界面和與棒相接觸的媒質的影響,與在無限固體中傳播時的情況不同。由於邊界條件不容易滿足,很難求得有限棒和有限板中波動的嚴格解,只能在特殊條件下求得近似解。
處於真空或空氣中的各向同性而長度無限的細棒,即棒截面尺度遠小于波動的波長,可以認為棒表面是自由的。在這種情況下,一般可以有三種不同類型的波動,它們是縱波、彎曲波和扭波(分別見圖2中a、b、c)。
圖2a中,AB是無限長細棒的一段,當A端平面受垂直於該面的力的擾動,這樣引起的形變將成為平面縱波從A端向B端傳播。與棒軸垂直的各個截面像一個整體,沿棒方向振動。圖中豎線密的地方表示媒質被壓縮,線稀疏的地方表示媒質被拉伸,如泊松效應引起的橫向形變可以略去不計時,則棒中縱波的波動方程是
(4)(4)縱波在棒中的相速度是
(5)式(5)式中ξ是質點沿棒軸方向的位移。若考慮泊松效應引起的橫向位移,則相速度為
(6)式 (6)式中a是圓棒截面的半徑,λ是縱波波長,可見
與波動的頻率有關,即考慮縱波在棒中傳播因泊松效應引起的橫向位移時,棒是一個頻散系統。
棒中彈性波若在A端平面上加一與面平行的力的擾動,則引起的形變將以彎曲波的形式傳向B端,如圖2b所示。可以看出在彎曲波傳播的過程中,棒的一些部分被壓縮,另外一些部分被拉伸。因此,棒中彎曲波仍將與彈性模量E 有關。除棒的截面有上下的運動外還有轉動。彎曲波的波動方程為
(7)式(7)式中y表示棒中質點沿與棒軸垂直方向的位移,k是棒橫截面的迴轉半徑。彎曲波傳播速度為
(8)式 (8)式中f為頻率。式(8)指出彎曲波傳播速度與頻率有關。即細棒對彎曲波是一個頻散系統。
圖2c所示是一段截面為圓的棒,如在A端加扭力使A面中直徑dd┡轉動θ角,然後鬆開扭力,扭力在棒內引起的切形變將以扭波的形式,向B端傳播,棒中各個截面將以棒的軸心為軸做鏇轉擺動,如圖2c中的a、b、с、…等截面。
扭波的波動方程為
(9)式(9)式中θ為角位移,單位為弧度(rad)。扭波在棒中傳播的速度與橫波在無限固體中傳播的速度相同,即
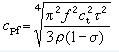
(10)(10)板中彈性波 簡稱板波。因引起板波的擾動或原因不同,板波的類型也不同。由於受板面的限制和與板面接觸的媒質的影響,板波的傳播與波在各向同性無限固體中傳播的情況不同。
在真空或空氣中的各向同性而長寬無限的平板,可以認為板面為不受限制的自由面,當板厚τ與板中波動波長λ 之比大於1時,一般板波可有四種類型,即瑞利波或叫表面波(見聲表面波)、彎曲波、縱波和橫波。表面波的相速度為
(11)
固體中的彈性波式中k 為一與板材料泊松比有關的常數,其值在0.87到0.96之間。但當板厚τ 與波長λ 之比小於1時,表面波不復存在,這時只剩下縱波、橫波和彎曲波,如圖3所示。圖3a中的AB和CD表示板的上下面,M N表示板的中心面,可以看出當縱波在板中傳播時,只有中心面上的質點做簡單的縱振動,其他地方的質點因泊松效應,除縱振動外還有橫振動。縱波傳播時的相速度為
(12)
式中сpl是板中縱波的相速度。圖3b表示板中橫波質點振動的情況。質點振動方向與板面平行時的橫波也叫蘭姆波,它的相速度與橫波在無限固體中橫波的相速度相同,即
(13)
圖3c表示板中彎曲波傳播的情況,它的相速度為
(14)(14)板中彎曲波的相速度сpf與頻率f 有關,故而板對彎曲波也是一個頻散系統。板中縱波和彎曲波又分別叫做對稱和非對稱蘭姆波。
參考書目
馬大猷、沈同編著:《聲學手冊》,科學出版社,北京,1983。
R.W.B. Stephens and A. E. Bate, Acoustics and Vibrational Physics,2nd ed., Arnold,London,1966.
L.E.Kinsler,et αl., Fundamentals of Acoustics,3rd ed., John Wiley & Sons, New York, 1982.
H.F.Pollard,Sound Waves in Solids,pion, London,1977.
