聲波在各向異性晶體中的傳播
正文
在科學研究和實際套用中遇見的固體通常有晶體和非晶體之分。兩者的根本區別在於:晶體內部的原子或離子按一定的規律排列著,而非晶體中它們的排列是不十分規律的。在晶體中,力學、電學和熱力學等特性在相對於晶軸的不同方向上各不相同;而對於非晶體,這些性能往往是各向同性的。所以在討論聲波在各向異性晶體材料中的傳播規律時,必須考慮晶體的對稱性。若聲波波長遠大於晶體中原子間的距離,晶體可以作為一個連續體看待,但反映點陣微觀結構的巨觀參量──彈性常數將直接與聲波的傳播狀況有關。在晶體中,獨立的彈性常數的個數決定於該晶體的點陣結構(例如對稱性最高的立方晶體僅有三個獨立的彈性常數,而對稱性最低的三斜晶體則有21個),所以求解晶體中的波動方程和分析波在晶體中的傳播現象比各向同性材料時更為複雜。
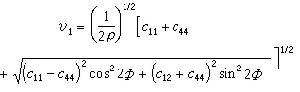
固體中每一個方向上都可以傳播一個縱波和兩個橫波。對各向同性的固體,縱波速度和橫波速度雖然不同,但都不隨傳播方向而變。在各向異性的固體中聲波速度都可能隨傳播方向而變,兩個橫波速度通常也不同。例如,對立方晶體中x和z兩晶軸所決定的平面內傳播的聲波,縱波速度為


其次,對各向同性的固體,縱波所對應的媒質質點振動方向總是與傳播方向嚴格平行,而兩個橫波的相互垂直的質點振動方向又始終與傳播方向垂直。但在各向異性的晶體中,縱波中質點振動位移通常並不與聲傳播方向平行,兩個橫波所對應的質點振動位移與聲傳播方向也不垂直。這些與聲傳播方向不一致的縱波稱為準縱波,質點振動方向與傳播方向不垂直的橫波稱為準橫波。而只有在某些特殊方向上,如立方晶體的【100】和【001】等方向上,才會出現各向同性固體中那樣的純縱波和純橫波。再者,在各向異性的晶體中聲波的能量傳播方向與波陣面的傳播方向也不一致(此現象稱為波束偏斜),同樣也只能在晶體的某些特殊方向(如上面提到的立方晶體的兩個方向)上兩者才一致。有限寬度的平面聲波在各向異性晶體中傳播時還伴隨著很複雜的衍射現象。
在討論壓電晶體中的聲波傳播時,除了考慮彈性常數外,還必須引入晶體的壓電常數(見壓電性)和介電常數。在壓電晶體中的聲波伴隨著壓電波的傳播,如果以由晶體的壓電和介電常數修正後的等效彈性常數代替原來的彈性常數,則問題的求解方法與非壓電晶體中的情況相同。
研究聲波在各向異性晶體中傳播規律是聲學中的一個重要課題,聲的傳播速度直接與材料的彈性有關,所以測定縱波和橫波在晶體中不同方向上的傳播速度可完全決定材料的彈性參量。討論聲波在晶體中的波束偏斜及衍射效應則與固體中聲場的分析和研製實用的聲學器件(如超聲延遲線和聲波放大器等)密切有關。
固體中聲波頻率增加而使得聲波波長與晶體的原子或離子間距離可以比擬時,晶體將不能看作連續體,每個原子的振動狀態和它鄰近的原子振動狀態有明顯不同,因而必須直接考慮點陣結構對聲傳播的影響,這時,聲波傳播速度也將隨聲波頻率而變化。
參考書目
B.A.奧爾特著,孫承平譯:《固體中的聲場和波》,第1冊,科學出版社,北京,1982。(B. A.Auld,Acoustic Field and Waves in Solids, Vol. 1, 2, Wiley-Interscience, New York,1973.)
