案例分析
若:在一組具有相關關係的變數的數據(x與Y)間,通過散點圖我們可觀察出所有數據點都分布在一條直線附近,這樣的直線可以畫出許多條,而我們希望其中的一條最好地反映x與Y之間的關係,即我們要找出一條直線,使這條直線“最貼近”已知的數據點,記此直線方程為(如右所示,記為①式)
這裡在y的上方加記號“^”,是為了區分Y的實際值y,表示當x取值xi=1,2,……,6)時,Y相應的觀察值為yi,而直線上對應於xi的縱坐標是
①式叫做Y對x的
回歸直線方程,相應的直線叫做回歸直線,b叫做回歸係數。要確定回歸直線方程①,只要確定a與回歸係數b。
回歸方程的有關量:e.隨機變數 ^b.斜率 ^a.截距 —x.x的數學期望 —y.y的數學期望 R.回歸方程的精確度
回歸直線的求法
最小二乘法:
總離差不能用n個離差之和
來表示,通常是用離差的平方和,即
作為總離差,並使之達到最小,這樣回歸直線就是所有直線中Q取最小值的那一條,這種使“離差平方和最小”的方法,叫做最小二乘法:
由於絕對值使得計算不變,在實際套用中人們更喜歡用:Q=(y1-bx1-a)²+(y2-bx-a²)+。。。+(yn-bxn-a)²
這樣,問題就歸結於:當a,b取什麼值時Q最小,即到點直線y=bx+a的“整體距離”最小。
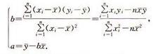
回歸方程用最小二乘法求回歸直線方程中的a,b有下面的公式:
最小二乘法求回歸直線方程中a、b的公式

