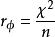
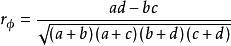
皮爾遜餘弦相關
如果兩個變數都是連續性變數且服從常態分配, 人為劃分為兩個類別,則不能用phi相關。
以下是一種近似算法:
四格表舉例:歷史成績是否及格是人為二分,地理成績是否及格也是人為二分,a代表歷史地理都及格,d代表歷史地理都不及格。
注意:性別、是否得某種疾病是真正二分,不能用這種算法
獨立二分樣本檢驗
| n=a+b+c+d | 癌症 | 其他 |
| 吸菸 | a | b |
| 非吸菸 | c | d |
如果兩個變數是真正二分的不連續變數,且二者獨立
四格表
四格表法1: 檢驗
四格表法2:卡方檢驗 先計算邊際機率,再給出理論數,最後進行計算
法3:比率差異檢驗(Z檢驗)
聯繫:
四格表
四格表
四格表
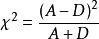
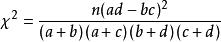
四格表檢驗和卡方檢驗 。 係數的優點在於小於1, 係數大於0.6表示強的相關,小於0.3表示弱的相關。卡方的優點在於有對應的機率可以查找。
Z檢驗的統計量平方就是卡方檢驗
四格表
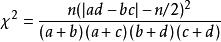
四格表注意:卡方檢驗的自由度,對四格表而言R=C=2,
矯正公式
四格表有一格理論次數小於5,需要用矯正公式
四格表相關樣本檢驗
| 第一次同意 | 第一次反對 | |
| 第二次反對 | A | B |
| 第二次同意 | C | D |
由McNemar提出,如果兩個變數相關(例如同一批人對同一個問題表明意見)
四格表矯正公式
四格表有一格理論次數小於5,需要用矯正公式
四格表
