基本原理
卡方檢驗就是統計樣本的實際觀測值與理論推斷值之間的偏離程度,實際觀測值與理論推斷值之間的偏離程度就決定卡方值的大小,如果卡方值越大,二者偏差程度越大;反之,二者偏差越小;若兩個值完全相等時,卡方值就為0,表明理論值完全符合。
注意:卡方檢驗針對分類變數。
步驟
(1)提出原假設:
H:總體X的分布函式為 F(x).
如果總體分布為離散型,則假設具體為
H:總體X的分布律為P{X=x}=p
(2)將總體X的取值範圍分成k個互不相交的小區間A1,A2,A3,…,Ak,如可取
A1=(a0,a1],A2=(a1,a2],...,Ak=(ak-1,ak),
其中a0可取-∞,ak可取+∞,區間的劃分視具體情況而定,但要使每個小區間所含的樣本值個數不小於5,而區間個數k不要太大也不要太小。
(3)把落入第i個小區間的Ai的樣本值的個數記作fi,成為 組頻數(真實值),所有組頻數之和f1+f2+...+fk等於樣本容量n。
(4)當H0為真時,根據所假設的總體理論分布,可算出總體X的值落入第i 個小區間Ai的機率pi,於是,npi就是落入第i個小區間Ai的樣本值的 理論頻數(理論值)。
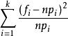
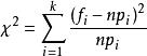
卡方檢驗(5)當H0為真時,n次試驗中樣本值落入第i個小區間Ai的頻率fi/n與機率pi應很接近,當H0不真時,則fi/n與pi相差很大。基於這種思想,皮爾遜引進如下檢驗統計量 ,在0假設成立的情況下服從自由度為k-1的卡方分布。
檢驗方法
獨立樣本四格表
自由度為1
假設有兩個分類變數X和Y,它們的值域分別為{x1, x2}和{y1, y2},其樣本頻數列聯表為
| y1 | y2 | 總計 | |
| x1 | a | b | a+b |
| x2 | c | d | c+d |
| 總計 | a+c | b+d | a+b+c+d |
卡方檢驗若要推斷的論述為H1:“X與Y有關係”,可以利用獨立性檢驗來考察兩個變數是否有關係,並且能較精確地給出這種判斷的可靠程度。具體的做法是,由表中的數據算出檢驗統計量的值。
卡方檢驗的值越大,說明“X與Y有關係”成立的可能性越大。
卡方檢驗 | 0.50 | 0.40 | 0.25 | 0.15 | 0.10 |
| k | 0.455 | 0.708 | 1.323 | 2.072 | 2.706 |
卡方檢驗 | 0.05 | 0.025 | 0.010 | 0.005 | 0.001 |
| k | 3.841 | 5.024 | 6.635 | 7.879 | 10.828 |
當表中數據a,b,c,d都不小於5時,可以查閱下表來確定結論“X與Y有關係”的可信程度:
卡方檢驗例如,當“X與Y有關係”的的值為6.109,根據表格,因為5.024<6.109<6.635,所以“X與Y有關係”成立的機率在1-0.01到1-0.025之間。
| 男 | 女 | ||
| 化妝 | 15(55) | 95(55) | 110 |
| 不化妝 | 85(45) | 5(45) | 90 |
| 100 | 100 | 200 |
如果性別和化妝與否沒有關係,四個格子應該是括弧里的數(期望值,用極大似然估計55=100*110/200,其中110/200可理解為化妝的機率,乘以男人數100,得到男人化妝機率的似然估計),這和實際值(括弧外的數)有差距,理論和實際的差距說明這不是隨機的組合。
卡方檢驗
卡方檢驗套用 擬合度公式=129.3>10.828
顯著相關,作此推論犯錯的機率p>0.999,即99.9%。
註:獨立四格表的擬合度公式可以寫成n(ad-bc)^2/(a+b)(c+d)(a+c)(b+d)
總結:獨立四格表資料檢驗
四格表資料的卡方檢驗用於進行兩個率或兩個構成比的比較。
1. 專用公式:
若四格表資料四個格子的頻數分別為a,b,c,d,則四格表資料卡方檢驗的卡方值=n(ad-bc)^2/(a+b)(c+d)(a+c)(b+d),(或者使用擬合度公式)
自由度v=(行數-1)(列數-1)=1
2. 套用條件:
要求樣本含量應大於40且每個格子中的理論頻數不應小於5。當樣本含量大於40但有1=<理論頻數<5時,卡方值需要校正,當樣本含量小於40或理論頻數小於1時只能用確切機率法計算機率。
資料檢驗
(自由度df=(C-1)(R-1))
行×列表資料的卡方檢驗用於多個率或多個構成比的比較。
1. 專用公式:
r行c列表資料卡方檢驗的卡方值=n[(A11/n1n1+A12/n1n2+...+Arc/nrnc)-1]
2. 套用條件:
要求每個格子中的理論頻數T均大於5或1<T<5的格子數不超過總格子數的1/5。當有T<1或1<T<5的格子較多時,可採用並行並列、刪行刪列、增大樣本含量的辦法使其符合行×列表資料卡方檢驗的套用條件。而多個率的兩兩比較可採用行X列表分割的辦法。
列聯表資料檢驗
同一組對象,觀察每一個個體對兩種分類方法的表現,結果構成雙向交叉排列的統計表就是列聯表。
1. R*C 列聯表的卡方檢驗:
R*C 列聯表的卡方檢驗用於R*C列聯表的相關分析,卡方值的計算和檢驗過程與行×列表資料的卡方檢驗相同。
2. 2*2列聯表的卡方檢驗:
2*2列聯表的卡方檢驗又稱配對記數資料或配對四格表資料的卡方檢驗,根據卡方值計算公式的不同,可以達到不同的目的。當用一般四格表的卡方檢驗計算時,卡方值=n(ad-bc)^2/[(a+b)(c+d)(a+c)(b+d)],此時用於進行配對四格表的相關分析,如考察兩種檢驗方法的結果有無關係;當卡方值=(|b-c|-1)2/(b+c)時,此時卡方檢驗用來進行四格表的差異檢驗,如考察兩種檢驗方法的檢出率有無差別。
列聯表卡方檢驗套用中的注意事項同R*C表的卡方檢驗相同。
代碼實現
在分類資料統計分析中我們常會遇到這樣的資料,如兩組大白鼠在不同致癌劑作用下的發癌率如下表,問兩組發癌率有無差別?
| 處理 | 發癌數 | 未發癌數 | 合計 | 發癌率% |
| 甲組 | 52 | 19 | 71 | 73.24 |
| 乙組 | 39 | 3 | 42 | 92.86 |
| 合計 | 91 | 22 | 113 | 80.53 |
這是表中最基本的數據,因此上表資料又被稱之為四格表資料。卡方檢驗的統計量是卡方值,它是每個格子實際頻數A與理論頻數T差值平方與理論頻數之比的累計和。每個格子中的理論頻數T是在假定兩組的發癌率相等(均等於兩組合計的發癌率)的情況下計算出來的,如第一行第一列的理論頻數為71*(91/113)=57.18,故卡方值越大,說明實際頻數與理論頻數的差別越明顯,兩組發癌率不同的可能性越大。
卡方檢驗要求:最好是大樣本數據。一般每個個案最好出現一次,四分之一的個案至少出現五次。如果數據不符合要求,就要套用校正卡方。
利用統計學軟體分析結果如下:
data kafang;
input row column number @@;
cards;
1 1 52
1 2 19
2 1 39
2 2 3
;
run;
proc freq;
tables row*column/chisq;
weight number;
run;
| 統計量 | 自由度 | 值 | 機率 |
| 卡方 | 1 | 6.4777 | 0.0109(顯著) |
| 似然比卡方 | 1 | 7.3101 | 0.0069 |
| 連續校正卡方 | 1 | 5.2868 | 0.0215 |
| Mantel-Haenszel 卡方 | 1 | 6.4203 | 0.0113 |
| Phi 係數 | -0.2394 | ||
| 列聯繫數 | 0.2328 | ||
| Cramer 的 V | -0.2394 |

卡方檢驗 