基本信息
噻蟲胺英文通用名:clothianidin
英文別名 (E)-1-(2-Chloro-1,3-thiazol-5-ylmethyl)-3-methyl-2-nitroguanidine; 1-(2-Chloro-5-thiazolylmethyl)-3-methyl-2-nitroguanidine; guanidine,N-[(2-chloro-5-thiazoly1)methyl~-N-methyl-N-nitro; 3-[(2-chloro-1,3-thiazol-5-yl)methyl]-2-methyl-1-nitro-guanidine; (E)-1-(2-Chloro-5-thiazolylmethyl)-3-methyl-2-nitroguanidine; 1-[(2-chloro-1,3-thiazol-5-yl)methyl]-2-methyl-3-nitroguanidine
CAS NO. 210880-92-5;205510-53-8
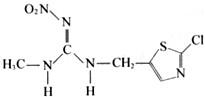
化學名稱:(E)-1-(2-氯-1,3-噻唑-5-基甲基)-3-甲基-2-2-硝基胍
結構式:理化性質:原藥外觀為結晶固體粉末,無嗅,熔點176.8℃。
蒸氣壓:1.3×10Pa(25℃)。溶解度:水0.327g/L,丙酮15.2 g/L,甲醇6.26 g/L,乙酸乙酯2.03 g/L,二氯甲烷1.32 g/L,二甲苯0.0128 g/L,正庚烷<0.00104 g/L,正辛醇0.938 g/L(測定溫度:水25℃,有機溶劑20℃)。
毒性:急性經口LD50>5000mg/kg(雌/雄) 急性經皮LD50>2000mg/kg(雄/雌)
新菸鹼類殺蟲荊噻蟲胺(clothianidin)由拜耳公司和日本Takeda武田公司共同進行全球市場開發。該品種已在日本用於水稻、果樹、茶葉、草皮和觀賞作物。clothianidin是武田公司繼烯啶蟲胺(nitenpyram)之後,發現的又一個菸鹼類殺蟲劑,屬第二代,與第一代的nitenpyram 相比,其分子結構的主要差別為:一是用氯代噻唑基團取代了吡啶基團;二是用硝基亞胺取代了硝基亞甲基部分。5位上的甲基提高了對刺吸害蟲的活性.而2一氯一5一噻唑基雜環則對咀嚼口器害蟲產生更高的效果 。
目前國內外報導的合成方法主要有:(1)2-氯-5-氯甲基-1,3-噻唑與N-甲基-N/-硝基-S-甲基異硫脲反應;(2)2-氯-5-氯甲基-l,3-噻唑與N-甲基-N,-硝基脲反應;(3)2-氯-5-氯甲基-1,3-噻唑與N-硝基-S-甲基異硫脲反應。得到1-(2-氯-噻唑甲基)-N-硝基-S-甲基異硫脲,再甲胺化得到產物;(4)通過分解1-(2-氯噻唑-5-甲基) -2-硝基亞胺基-3,5-二甲基-六氫-1,3,5-三嗪製備產物。

