計算關係式
按照尼奎斯特定理﹐噪聲源的噪聲溫度與噪聲功率P 之間的關係為﹕
噪聲溫度式中K為玻耳茲曼常數﹐B為頻頻寬度。對於接收機﹐可將內部噪聲換算成相當於輸入端引入的相應的噪聲量﹐稱為等效噪聲溫度 T。它與接收機的噪聲係數F的關係為﹕
噪聲溫度T 為環境溫度﹔T 和F 都是常用的表達接收機噪聲的方式。射電望遠鏡的系統噪聲溫度T 的含義是﹐來自天線的噪聲功率經過傳輸線損耗後﹐呈現在接收機輸入處的噪聲溫度﹑傳輸線本身的噪聲溫度以及接收機等效輸入噪聲溫度。
直接提取方法
本文基於二連線埠網路噪聲理論和噪聲關聯矩陣給出了一種可以用於MOSFET的噪聲溫度參數(Td,Tg)的直接提取方法.該方法給出了噪聲溫度參數的顯式表達式因而簡潔易用,並從噪聲溫度參數的顯式表達式分析了影響噪聲溫度提取精度的主要因素.同時由於此方法在參數提取時不依賴於源端阻抗的選擇,理論上有助於提高參數提取的精度.本文方法得到的噪聲溫度參數和其他方法得到的結果有很好的一致性。
CATV系統噪聲功率、噪聲溫度、噪聲係數分類:有線技術。
系統噪聲功率、噪聲溫度、噪聲係數。
中國噪聲溫度
描述噪聲的另一個物理量是噪聲溫度,它是這樣定義的,根據公式:
噪聲溫度當頻寬B為單位頻寬時(B=1HZ)
噪聲溫度從式可看出這時的噪聲功率可以用等效噪聲溫度Te來進行描述,它的具體含義是:把一個相當的電阻加熱,使其熱噪聲輸出與該器件在所用頻率上的噪聲輸出相等時,用此時的絕對溫度表示的溫度。也就是說設備的內部噪聲NA可以看成是內阻r在溫度為Te時所產生的噪聲。可以認為噪聲溫度是噪聲功率的另一種表示形式,如衛星天線的高頻頭就習慣用噪聲溫度來標註的。
衛星接收影響
隨著數位技術的快速發展,衛星廣播在我國已經成為一種用於覆蓋全國的主要廣播方式。特別是“村村通”工程的實施,實現了衛星廣播電視接收的全面普及。
衛星電視接收系統的品質因數,是建設衛星地面接收站時必須考慮的因素之一,本文從討論接收天線的環境噪聲入手,討論噪聲溫度對天線接收能力的影響。
等效噪聲溫度
一般地,由於空間物質內部存在分子熱運動,空間的任何物質都可能產生電磁輻射,這種輻射是隨機的。當物質溫度高於環境溫度,則向外輻射能量使之降溫;反之則吸收外界能量升溫,使其本身溫度和外界趨於動態熱平衡。這種電磁輻射對天線的影響就是噪聲。
噪聲溫度
噪聲溫度
噪聲溫度
噪聲溫度
噪聲溫度天線的噪聲溫度 不僅取決於天線增益 ,而且取決於周圍環境的亮度溫度 。由於天線所處的環境複雜, 是一個非常複雜的量,它既是時間的函式,又是空間的函式,既隨季節變化,又隨天氣、晝夜的變化而變化。這就決定了 構成的複雜性。一般地,除上述原因外,主要和接收天線的位置和指向有關,通常可以用定位測量的方法取得。
外部噪聲對天線噪聲溫度的影響
外部噪聲包括宇宙射線噪聲、大氣噪聲和人為噪聲。宇宙射線噪聲是因為宇宙射線中包括頻率豐富的諧波成份會對接收天線產生干擾;大氣噪聲是指地球大氣層的活動所產生的電磁波對接收天線產生干擾作用;人為噪聲是指人類從事工業、交通等活動所產生的電磁波對接收天線產生干擾作用。
各種外部噪聲的大小都與頻率及天線所處的位置有密切的關係。在頻率f<1MHz的條件下,閃電是主要的噪聲源。在1 MHZ<f<10MHz時,閃電引起的電磁波在大氣中傳播距離較長,其產生的噪聲功率密度在方向上基本均勻。
衛星接收機工作在100MHZ< f <1GHz以內時宇宙射線引起的噪聲是外部噪聲的主要來源。而在f>1GHz時,來自宇宙射線的亮度溫度嚴重地影響著接收天線的噪聲溫度,這時,太陽是最高的噪聲源亮度溫度,其範圍約在10000k一1000000k之間,太陽對地面某一點的張角約為0.5度。
在C波段和Ku波段,宇宙噪聲可以忽略(衛星蝕時太陽射電噪聲是不可避免的),而大氣噪聲是影響天線品質因數的主要因素。
人為噪聲的頻率一般較低,對頻率在100MHz以上的天線干擾不大,還因為所有衛星接收天線都有一個朝向赤道上空的仰角,傳播信號的波束寬僅有幾度。儘管天線仰角對天線噪聲溫度是有直接影響的,人為噪聲對衛星電視接收的質量影響也不大。
高頻頭LNB的噪聲溫度Te
噪聲溫度
噪聲溫度高頻頭,全稱為“低噪聲高頻放大器”,其噪聲溫度的大小是衡量其質量的一個重要指標,現在的高頻頭噪聲溫度可達20k -25k。等效到輸入端的噪聲溫度,可表示為:
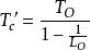
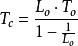
噪聲溫度傳輸線的噪聲溫度Tc
噪聲溫度
噪聲溫度
噪聲溫度由於傳輸線電阻的存在,損耗帶來的噪聲是不能忽視的。設在傳輸線的輸入端用匹配的電阻等效天線和高頻頭,保持環境溫度不變,這是接收天線輸入端的噪聲功率,其中匹配電阻產生的噪聲是接收機輸入端全部噪聲的一部分,因此在接收機輸入端傳輸線產生的噪聲為:
噪聲溫度
噪聲溫度傳輸線的輸入端本身產生的噪聲溫度為:
噪聲溫度顯然,傳輸線損耗越小,產生的噪聲也越小。因此在實踐中儘可能選用低耗電纜連線於高頻頭和接收機之間。在高頻頭和接收機之間距離100m左右時,應選“-9”同軸電纜,而在10m左右時,可選“-7”同軸電纜。

