算術中的比
基本介紹
比(ratio)亦稱單比,算術術語,比較兩個同類量之間的一種倍數關係,稱為這兩個同類量的比。在單位相同時,兩個量的比可以用表示這兩個量的數的比來代替。在實際中,只有同類量,且取同單位,才能相比。兩個量相比得到的倍數,稱為比值。兩個數相比,也可以說成是兩個數相除,a與b的比,記為a∶b或a/b,讀作a比b,符號“∶”稱為比號,比號前的數a,稱為比的前項,比號後的數b,稱為比的後項,比的後項不能是零。比的結果就是比值。儘管兩數相比的比值,相除的商和分數的值是相同的數,但比、除法及分數仍是有區別的,比是指兩個量的倍數關係,除法是一種運算,分數是一個數,比的基本性質是:比的前項和後項都擴大或縮小相同的倍數,比值不變,建立比的嚴格理論是歐多克索斯(Eudoxus,(C)),他引入了一個變數的概念,它不是整數,他認為整數是跳動的個體(即離散的),而量是指線段、角、面積、時間等可以連續變動的東西,他用量這個概念建立了比和比例的理論,這樣就把有公度比和無公度比(比值為無理數)都包括進去了。歐幾里得(Euclid)《幾何原本》中的第五卷《比例論》,被認為是根據歐多克索斯的成果而編寫的,也是歐幾里得幾何的成就之一 。
單比與複比
單比單比是只包含兩項——前項和後項的比:a:b,或寫成。在四項比例式“a:b=c:d”中,等式每邊的比都是單比。
單比
單比複比是把兩個或多個單比的前項相乘積作前項,所有後項相乘積作後項,所作成的比,稱為原來幾個單比的複比。例如a:b與c:d是兩個單比,ac:bd就是複比。複比的比值,等於幾個單比值的乘積。例如,那么複比。
仿射幾何中的單比
基本概念
單比
單比
單比單比(simple ratio)亦稱仿射比,又稱簡單比,是仿射幾何中最基本的不變數。若P,P是有向直線上的兩個定點,P是這直線上的另一點,P分有向線段為兩個有向線段和,則其數量的比
單比
單比稱為三點P,P,P的 單比,記為(P P P),即(PPP)=,其中P,P稱為 基點,P稱為 分點 。
顯然,當點P在點P,P之間時,單比(P P P)<0;否則(P P P)>0。
當點P與點P重合時,單比(P P P)=0;當點P與點P重合時,單比(P P P)不存在;當點P為線段PP的中點時,單比(P P P)=-1。
如果已知兩點P,P,且單比(P P P)為定值時,則點P在直線PP上的位置是被唯一確定的。
定理平行射影(透視仿射對應)保持共線三點的單比不變 。
交比
單比是仿射變換的基本不變數,但對於中心射影來說,單比不是不變數,它的基本不變數是交比。
下面介紹共線四點的交比的概念。
單比
單比
單比
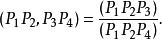
單比定義 四個共線點的交比定義為兩個單比與的比,用符號表示,即
單比
單比
單比其中叫做 基點偶;叫做 分點偶。
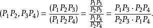
根據交比的定義有
單比交比又稱交叉比,複比 。

