定義
若δ函式滿足:
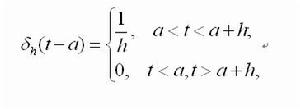
單位脈衝函式更一般的情況下,如果函式滿足
其中I是含有t=a的任何一個區間,則稱δ(t)為單位脈衝函式。
舉例
在現實生活中,這種函式並不存在,它只是如下特殊規律的數學抽象;在某定點非常狹小的區域內,所討論的問題取非常的值;在這個領域之外,函式值處處為0.如函式:
單位脈衝函式而把的積分理解為特殊情況去,當a=0時,有:
於是,一般工程上都稱δ函式為單位脈衝函式,將δ函式用一個長度等於1的有向線段來表示,這線段的長度表示δ函式的積分值,稱為δ函式的強度.

單位脈衝函式,即指在除了零以外的點都等於零,而其在整個定義域上的積分等於1。
若δ函式滿足:
單位脈衝函式在現實生活中,這種函式並不存在,它只是如下特殊規律的數學抽象;在某定點非常狹小的區域內,所討論的問題取非常的值;在這個領域之外,函式值處處為0.如函式:
單位脈衝函式函式的定義:給定一個數集A,假設其中的元素為x。現對A中的元素x施加對應法則f,記作f(x),得到另一數集B。假設B中的元素為y。則y與x之間的等量關係...
詳細介紹 發展歷史 函式定義 表示方法 函式的特性在數學中,格林函式是一種用來解有初始條件或邊界條件的非齊次微分方程的函式。在物理學的多體理論中,格林函式常常指各種關聯函式,有時並不符合數學上的定義。 ...
簡介 定義 用途奇異函式是指函式本身有不連續點(跳躍點)或其導數或積分有不連續點的一類函式。奇異函式也稱為脈衝函式或麥考雷函式,它可用來描述任何不連續的單個方程式。在信...
表達式 物理學中套用 材料力學套用脈衝信號發生器是信號發生器的一種。信號發生器按信號源有很多種分類方法,其中一種方法可分為混和信號源和邏輯信號源兩種。其中混和信號源主要輸出模擬波形;邏輯...
特點 指標 套用領域 類別脈衝發生器是用來發生信號的系統,產生所需參數的電測試信號儀器。按其信號波形分為四大類。
分類 用途 隨機脈衝發生器 超短脈衝發生器本書根據教育部高等院校複變函數與積分變換課程的基本要求,依據工科數學《複變函數與積分變換教學大綱》,結合本學科的發展趨勢,在積累多年教學實踐...,理論聯繫實際,講授方式靈活。 本書共分8章,包括複數與複變函數、解析函式...
內電磁脈衝 - 核爆炸(或模擬設備)釋放出來的γ射線具有很強的穿透性,當它們穿透各種車、船、飛行體、建築物等系統外壁時,在其內部激勵的瞬發電磁輻射稱為內電磁脈衝。
內電磁脈衝 正文 配圖 相關連線《電磁脈衝導論》,是王泰春編著,國防工業出版社出版的書籍。
圖書相信 內容簡介 目錄 導語