基本信息
名義應力是指在不考慮幾何不連續性(如孔、槽、帶、波紋等)的情況下,在試樣的有效橫截面上計算得到的應力。舉個例子,一根桿,原長l,截面積A,受單向拉伸F作用,發生大變形後面積變為A,長度L,則名義應力為F/A比如鋼構件在受力拉斷後,雖然有徑縮現象,但是名義應力仍然取拉力除以原來的截面積。
名義應力是一種整體的等效應力,並不是實際作用於結構的局部的力。比如壓力下的蜂窩或泡沫結構的材料,他們的名義應力等於力除以面積(等效為連續體),但是實際結構局部的應力應該等於力除以截面上的材料面積。
學術文獻解釋
1、所謂名義應力是指當應力低於屈服極限時應力與應變關係滿足於虎克定律這時名義應力與真實應力是一致的當應力高於屈服極限時這時名義應力與真實應力是不一致的名義應力的綜合值稱之為名義應力強度。
2、名義應力是指磨輥總壓力與磨輥在容床上的投影響面積之比.當壓力達到一定值時,即使壓力再大,粉磨效率也不再提高,而保持在大致相近的水平上。
3、由任一截面的正應力計算公式:知道當圖5錨鏈邊界應力集中係數分布括弧:FEM無括弧:BEM其中:R’為錨鏈環中性層曲率半徑e’為偏心距A為截面面積當發生塑性變形時式中:σ=P/(2A)稱為名義應力。
4、名義應力是指承壓後容器器壁中大面積上的平均應力,脆性破裂時名義應力往往低於鋼材的屈服點,因而這類破裂常在正常操作壓力或水壓試驗壓力下發生,更難於防範。
相關關係
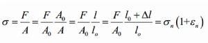
名義應力假設桿件長度為 l0,在力 F 的作用下伸長為 L,材料在縱向伸長,在橫向壓縮(就是泊松比的來源),體積保持不變,假設開始的橫截面積為 A0,縱向伸長後面積為 A,有 L0A0=LA。
應力分為名義應力與實際應力:
名義應力:
名義應力實際應力:
名義應力應變也分為名義應變與實際應變:
名義應變:
名義應力實際應變:
名義應力彈性模量定義的時候,是根據名義應力與名義應變來的。
名義應力
名義應力
名義應力
名義應力根據材料應力應變關係,設計屈服時所採用的強度為圖中紅橢圓區域。滿足
名義應力
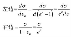
名義應力於是,
名義應力於是,
名義應力
名義應力
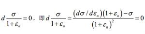
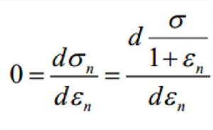
名義應力由 得 ,帶入上式,
名義應力
名義應力得 。
真實應力=名義應力×(1+名義應變)。名義應力就是工程應力。
