基本信息
中文名稱:叔丁醇鉀
中文別名:第三丁氧基鉀;次丁氧基鉀;叔丁醇鉀溶液。
英文名稱:KTB
結構式英文別名:Potassium tert-butylate; potassium tert-butanolate; Potassium t-butoxide; Potassiumtbutoxide; Potassium Tertiary Butoxide; KTB; 2-methyl-2-propanopotassiumsalt; 2-Propanol,2-methyl-,potassiumsalt; potassium-butoxide; N-(2-Chlorobenzyloxycarbonyloxy) succinimide; potassium 2-methylpropan-2-olate; 2-propanol, 2-methyl-, potassium salt (1:1)
叔丁醇鉀 CAS號:865-47-4
分子式:C4H9KO
分子量:112.21
叔丁醇鉀是叔丁醇OH基團中的H原子被K原子取代後的產物。
叔丁醇鉀有液體和固體兩種類型。通常液態的工業產品為叔丁醇鉀的叔丁醇溶液,產品顏色為淡黃色或乳白色,微渾濁,其中叔丁醇鉀鉀含量為10%~12%;固體產品一般為白色或類白色粉末狀,其中叔丁醇鉀含量為95%~97%。
叔丁醇鉀是有機鹼性腐蝕品,強吸濕,應密封保存,一般儲存於陰涼、乾燥、通風的庫房內,放置時應遠離熱源,隔離火種,防止日光的暴曬。叔丁醇鉀對皮膚有較強的腐蝕性。在裝卸搬運過程中,操作人員應該穿戴防護面具,以防受到叔丁醇鉀的腐蝕灼傷。
物化性質
外觀性狀:白色或類白色吸濕性粉末,遇水反應,濕度敏感,氮氣保護。
溶解性:溶於叔丁醇
熔點 :256-258 ℃ (dec.)(lit.)
沸點 :275℃
蒸氣壓:1 mm Hg ( 220 ℃)
閃點 :54℉
用途
1、用於農藥、醫藥、印染、催化劑等
2、作為強鹼廣泛套用於化工、醫藥、農藥等有機合成中的縮合、重排和開環等反應中
製備方法
總體來說,液體叔丁醇鉀有兩種主要生產工藝,一種是金屬法,另一種是鹼法。
固體醇鉀產品主要是以液體醇鉀為原料,經過蒸發濃縮、乾燥,進一步製得的。
金屬法
將金屬鉀在氮氣環境下加入到新蒸的叔丁醇中,回流至鉀完全融解後保溫1h,蒸掉過量的叔丁醇,剩餘白色固體在油浴180~190℃真空減壓乾燥10h以上,可得到叔丁醇鉀的晶體粉末,需要氮氣下保存使用,不能遇空氣、水分,不然會變成粉紅色,收率以鉀來算的話在99%以上。
叔丁醇鉀此方法的缺點是:
第一,將金屬鉀切成碎片需要用氮氣保護;
第二,增大了金屬鉀與空氣接觸的時間,金屬鉀被氧化;
第三,鉀片很容易聚集,減少了反應接觸面積,增大了反應釜攪拌的負荷。
2002年劉宇 提出一種新的金屬法合成叔丁醇鉀的工藝。採用鄰二甲苯作為反應體系的溶劑。鄰二甲苯的沸點是114℃,金屬鉀在該溶劑中可以呈現融熔狀態(也就是鉀砂),不需要將鉀切成片狀,鉀塊可以直接投入反應釜中。而且,反應的接觸面積增大,有利於反應的進行。另外採用滴加叔丁醇,可以有效地控制反應的進行。該方法克服了一般生產工藝上存在的缺點,工業上可操作性強,有利於安全生產,所得固體叔丁醇鉀含量高,游離鹼偏低,具有明顯的經濟效益和社會效益。
Kerstin Schierle-Arndt等 在2002年的專利中提出了一種鹼金屬(鹼土金屬)和醇反應製備鹼金屬醇鉀的方法。此方法利用了鹼金屬醇鹽和鹼土金屬醇鹽在醇中溶解度的不同來提純產品,但要注意保證反應物醇的加入要過量,否則會形成大塊混合物,影響產品的純度。
金屬法的優點是:叔丁醇鉀含量高,游離鹼低。用金屬法生產的叔丁醇鉀產品,具有更好的催化活性。缺點是:生產中存在著安全性差、易爆炸等嚴重弊病。由於金屬鉀的價格昂貴,不易運輸、貯存等因素,使得生產成本較高。此方法逐漸趨於被淘汰。金屬法的投資利潤率低於精細化工的平均利潤率,故該方法在市場競爭能力方面具有一定的風險。
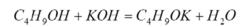
鹼法
由叔丁醇與氫氧化鉀反應而得。
叔丁醇鉀普通鹼法製備工藝中存在著以下四方面主要缺點:蒸汽消耗量大;由於叔丁醇的易揮發,從而導致較為嚴重的大氣污染;因該反應為一平衡可逆反應,故在塔底叔丁醇鉀的液相中不可避免地存在含量較高的水分,不符合醫藥等行業精細化學品的使用要求;廢水中含有部分叔丁醇,需要額外的處理才能排放入環境,增加了後處理的費用。
王化醇、郭光遠 等提出用共沸反應精餾制來製取叔丁醇鉀的方法,利用共沸劑(如環己烷)來移除反應中生成的水從而使得平衡向右移動。在反應過程中使反應物料在反應塔內形成一層很薄的液膜,反應只在氣液相界面處進行,將反應生成的水及時轉移到氣相中,最終以共沸物的形式離開反應物系。要求反應塔的塔內件採用比表面積較大的填料,這樣可以順利的脫出反應物中的水,製取叔丁醇鉀。
鹼法製備叔丁醇鉀較金屬法有明顯的技術、經濟、安全優勢。但是其反應中生成的水不可能完全脫除,加之叔丁醇鉀的鹼性比氫氧化鉀要強,叔丁醇鉀遇水即發生水解反應,所以叔丁醇鉀中存在氫氧化鉀雜質。而在醫藥合成反應中雜質氫氧化鉀時常起副作用,會分解反應物或生成物。因此,產物中一般要把叔丁醇鉀中的氫氧化鉀含量控制在非常低的範圍之內。
鹼法製備叔丁醇鉀的工藝流程簡單、操作方便、設備投資少,但使用這種流程製備的叔丁醇鉀中,含水量較高,副產物很難去除,影響產品質量。
反應類型
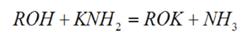
醇與鹼金屬氨基化物反應
傳統金屬法製備叔丁醇鉀的工藝中,都會有氫氣產生,存在安全性問題。唐樹成、段正康 在2004年提出醇鉀合成的新工藝,即醇與鹼金屬氨基化物反應製備醇鉀。
叔丁醇鉀製備叔丁醇鉀時,方程式中的R為叔丁基。唐樹成、段正康介紹了採用甲苯或庚烷為反應體系的溶劑,醇與鹼金屬氨基化物反應製備鹼金屬醇鹽的方法。
此方法採用鹼金屬氨基化物代替鹼金屬本身作為反應物,使得反應放出的氣體是氨氣而不是氫氣,在工業上有較強的可操作性,有利於安全生產。特點是反應條件不苛刻,生產過程危險性小,特別是產物後處理過程簡單,大大縮短了反應介質及反應產物的乾燥時間,產物純度及收率都較為理想。但金屬氨基化物價格昂貴,鉀的氨基化物還存在環境污染,所以該類方法只適用於實驗室製備。
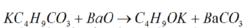
甲基碳酸鉀與氫氧化鋇反應
William H. Schechter 等在1962年提出了用叔丁基碳酸鉀與氫氧化鋇反應製備叔丁醇鉀的方法,即鹼土金屬氧化物和烴基鹼金屬碳酸鹽反應生成鹼金屬醇鹽。
叔丁醇鉀該反應最好對反應適當加熱到50℃~150℃來提高反應速率。將叔丁基碳酸鉀和氧化鋇放置在叔丁醇中,加熱到叔丁醇沸點溫度,回流反應八小時。反應結束後,過濾溶液去除副產物碳酸鋇,然後對溶於叔丁醇的部分進行蒸餾,去除溶劑。
該方法的優點是:副產物不溶於叔丁醇,比較容易分離,再對產物溶液進行蒸餾處理,可以得到純度比較高的固體叔丁醇鉀產品。缺點是產物碳酸鋇不能重複利用,造成浪費,不適合大規模的生產。
叔丁醇鈉與碳酸鉀反應
Donald J. Loder, Donald D. Lee等人1942年發明了一種醇與弱酸的鹼金屬鹽反應製備鹼金屬醇鹽的方法。將弱酸的鹼金屬鹽溶於醇中,直到獲得飽和溶液,當反應所在的體系基本上建立了固液平衡時,反應就基本結束,從得到的混合物溶液中過濾出不溶的鹼金屬鹽,並且使鹼金屬鹽再生:
叔丁醇鉀此反應過程中,生成的碳酸氫鉀鹽相對溶解度較小,可以很容易地從叔丁醇中分離出來;而產物叔丁醇鉀在叔丁醇中得溶解度相對較大,從而可以製備相應的叔丁醇鉀的叔丁醇溶液。
此方法的不足之處是,反應進行不徹底,產物叔丁醇鉀與碳酸鉀、碳酸氫鉀的分離較為困難。
鉀汞齊與叔丁醇反應
用鉀汞齊替代金屬鉀來製備醇鉀的方法。鉀汞齊與叔丁醇反應生成叔丁醇鉀、不含鹼金屬的汞,並放出氫氣。
叔丁醇鉀Adolf Gerber,Otto Leschhorn 等人在1956年發明了改進的液相過程,使用簡單、便宜的裝置,使醇和鉀汞齊基本完全反應,在一定條件下獲得不含鉀的汞和叔丁醇鉀。
高度分散的汞齊通過重力作用流入裝有催化劑的反應裝置的頂部,與醇逆流反應,生成不含鹼金屬的汞齊。催化劑的尺寸為2mm~3mm。使用噴嘴將汞齊引入反應裝置中,進入含有催化劑的床層,使用側線讓得到的醇鹽的醇溶液循環,與新鮮的醇混合,由反應釜向上與汞齊逆流。這樣不僅能使反應狀況得到改善,還能使產品溶液中醇鹽的濃度增加。但是該方法耗能大、成本高,不適合工業化生產。
低碳醇鹽與多碳醇反應
例如甲醇鉀製備叔丁醇鉀,首先需製備甲醇鉀的甲醇溶液,再由甲醇鉀製備叔丁醇鉀。
Arnold Lenz, Karl Hass 等人在1968年提出鹼金屬低碳醇醇鹽與多碳醇反應生成多碳醇的鹼金屬醇鹽這
一醇交換反應的改進方法,用以製備多碳醇的鹼金屬醇鹽。
叔丁醇鉀R1為低碳基,R2為多碳基。當製備叔丁醇鉀時,R1為甲基,R2為叔丁基。
鹼金屬低碳醇醇鹽與多碳醇的醇交換反應是在高碳醇的醇蒸汽作為交換反應介質的情況下進行的,反應結束後通過蒸餾操作來去除產物中剩餘的低碳醇。
這種生產方法的工藝流程中包括一個反應塔、一個蒸餾塔、兩個儲槽、兩個加熱器、兩個冷凝器。低碳醇鹽和高碳醇加入到貯槽中,通過泵將混合原料輸送到反應塔的塔頂,中間經過加熱器對原料進行加熱。同時,高碳醇蒸汽經過蒸汽發生器和過熱器後由塔底進入反應塔,反應塔塔頂氣相進入冷凝器進行冷凝,塔頂氣相是高碳醇與低碳醇的混合物,在冷凝器中冷凝為液體後進入貯槽,然後從中部側線進入蒸餾塔,通過蒸餾將低碳醇和多碳醇分離,低碳醇在塔頂采出,多碳醇從蒸餾塔的底部流出,經過蒸汽發生器、加熱器後進入反應塔繼續反應,實現多碳醇的循環使用,同時得到高純度的低碳醇,進入製備甲醇鉀的反應塔中循環使用。高碳醇鹽由反應塔塔底采出。
該方法得到的叔丁醇鉀含量高,可用於高科技高價值領域。其中含有的少量雜質為甲醇鉀。它與叔丁醇鉀在性質和功能方面都非常相似。作為催化劑用於醫藥、農藥等領域時,甲醇鉀可以與叔丁醇鉀發揮相同的作用。而金屬法、鹼法等其他方法製備的叔丁醇鉀中含有氫氧化鉀雜質,在參與醫藥合成反應時常起副作用,分解反應物或生成物中的脂。另外,該方法完全可以實現工業化生產,甲醇鉀的製備與叔丁醇鉀的製備同時進行,其間,甲醇蒸汽與叔丁醇蒸汽循環利用,節約成本。該方法製得的產品純度高,成本低,操作簡單。
安全信息
叔丁醇鉀溶於叔丁醇,常用於鹵代烴的脫鹵化氫反應,其溶液較穩定。可由叔丁醇與金屬鉀反應後,減壓蒸去叔丁醇製得。強鹼性縮合劑,其鹼性較甲醇鈉、乙醇鈉強。
廣泛用於有機合成的縮合、重排和開環等反應中,一般用叔丁醇溶液。是有機鹼性腐蝕品,強吸濕,應密封保存,在貯運中注意防火、防曬以及要存放在陰涼通風乾燥處

