基本介紹
反序數
反序數排列 把n個不同的元素按一定的順序排成一行( ),稱為這n個元素的一個排列,為了方便起見,這裡只用到前n個自然數 的 排列。
反序數
反序數n階排列由 組成的有序數組稱為一個 n階排列,通常用 表示n階排列。如2341是一個四階排列,25134是一個五階排列。
反序數
反序數
反序數
反序數
反序數
反序數自然排列 n個不同元素的所有排列的種數,通常用 表示,從n 個元素中任取一個放在第一個位置上,有n種取法;又從剩下的 個元素中任取一個放在第二個位置上,有 種取法;這樣繼續下去,直到最後只剩下一個元素放在第n個位置上,只有一種取法,於是 。如1,2,3這三個自然數組成的所有三階排列:123,132,213,231,312,321,其種數 。 是一個n階排列,它具有自然順序,稱為 自然排列(或 標準排列),在這個排列中的任何兩個數,小的數總排在大的數前面。
反序數
反序數反序、反序數一個排列中,如果一個大的數排在小的數之前,就稱這兩個數構成個 反序、一個排列的反序總數稱為這個排列的 反序數。用 表示排列 的反序數。
奇排列、偶排列 反序數為奇數的排列叫做 奇排列,反序數為偶數的排列叫做 偶排列。
反序數例1 在四階排列2341中,共有反序21,31,41,即 ,所以2341是奇排列。
反序數在五階排列25134中,共有反序21,51,53,54,即 ,所以25134是偶排列。
反序數
反序數
反序數
反序數
反序數
反序數
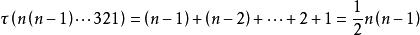
反序數例2 自然排列的反序數,所以是偶排列;而n階排列的反序數,所以,當n=4k或4k+1時,是偶排列,而當n=4k+2或4k+3時,是奇排列。
求反序時,可以從前到後將相鄰的兩個數進行比較,求出反序及反序數,也可從首位數開始找出每個數與其前面數的反序,(此時首位數的反序為0),這些反序相加即為反序數 。
相關概念與性質
在一個排列中,交換其中某兩個數的位置,而其餘各數的位置不動,就得到另一個同階的新排列。對排列施行的這樣一個交換稱為一個 對換,將相鄰兩個數對換,叫做 相鄰對換。
定理1對換改變排列的奇偶性。即經過一次對換,奇排列變成偶排列,偶排列變成奇排列。
反序數
反序數推論在全部 階排列中,奇、偶排列各占一半,即各有 個。
定理2任意一個n階排列可經過一系列對換變成標準排列,並且所作對換次數的奇偶性與這個排列的奇偶性相同 。

