定義
已知函式f(x)是一個定義在某區間的函式,如果存在可導函式F(x),使得在該區間內的任一點都有dF(x)=f(x)dx,則在該區間內就稱函式F(x)為函式f(x)的原函式。
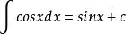
例如:sinx是cosx的原函式。
典型原函式
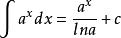
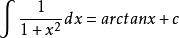
原函式
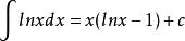
原函式
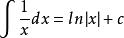
原函式
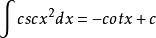
原函式
原函式
原函式
原函式
原函式
原函式
原函式
原函式
原函式
原函式其中,c均為任意常數。
原函式存在定理
若函式f(x)在某區間上連續,則f(x)在該區間內必存在原函式,這是一個充分而不必要條件,也稱為“原函式存在定理”。
函式族F(x)+C(C為任一個常數)中的任一個函式一定是f(x)的原函式,
故若函式f(x)有原函式,那么其原函式為無窮多個。
例如:x 是3x 的一個原函式,易知,x +1和x +2也都是3x 的原函式。因此,一個函式如果有一個原函式,就有許許多多原函式,原函式概念是為解決求導和微分的逆運算而提出來的。
例如:已知作直線運動的物體在任一時刻t的速度為v=v(t),要求它的運動規律 ,就是求v=v(t)的原函式。原函式的存在問題是微積分學的基本理論問題,當f(x)為連續函式時,其原函式一定存在。
幾何意義和力學意義
設f(x)在[a,b]上連續,則由 曲線y=f(x),x軸及直線x=a,x=b圍成的曲邊梯形的面積函式(指代數和——x軸上方取正號,下方取負號)是f(x)的一個原函式.若x為時間變數,f(x)為直線運動的物體的速度函式,則f(x)的原函式就是路程函式。

