概念
加權數即加權平均數,不同比重數據的平均數,加權平均數是把原始數據按照合理的比例來計算。
加權數
加權數
加權數
加權數
加權數
加權數
加權數
加權數
加權數
加權數
加權數
加權數
加權數
加權數
加權數
加權數
加權數
加權數
加權數
加權數
加權數
加權數
加權數
加權數若n個數中,出現次,出現次,…,出現次,那么(++…+)/(++...+)叫做,,…,的加權平均數。,,…,分別是,,…,的權。
例子
例1.你的小測成績是80分,期末考成績是90分,老師要計算總的平均成績,就按照小測40%、期末成績60%的比例來算,所以你的平均成績是:
80×40%+90×60%=86
學校食堂吃飯,吃三碗的有x人,吃兩碗的有y人,吃一碗的z人。平均每人吃多少?
(3x+2y+z)/(x+y+z)
這裡3、2、1分別就是權數值,“加權”就是考慮到不同變數在總體中的比例份額。
當一組數據中的某些數重複出現幾次時,那么它們的平均數的表示形式發生了一定的變化.例如,某人射擊十次,其中二次射中10環,三次射中8環,四次射中7環,一次射中9環,那么他平均射中的環數為
(10×2+9×1+8×3+7×4)÷10=8.1
這裡,7,8,9,10這四個數是射擊者射中的幾個不同環數,但它們出現的頻數不同,分別為4,3,1,2,數據的頻數越大,表明它對整組數據的平均數影響越大,實際上,頻數起著權衡數據的作用,稱之為權數或權重,上面的平均數稱為加權平均數,不難看出,各個數據的權重之和恰為10。
實際套用
在加權平均數中,除了一組數據中某一個數的頻數稱為權重外,權重還有更廣泛的含義。
比如在一些體育比賽項目中,也要用到權重的思想。比如在跳水比賽中,每個運動員除完成規定動作外,還要完成一定數量的自選動作,而自選動作的難度是不同的,兩位選手由於所選動作的難度係數不同,儘管完成各自動作的質量相同,但得分也是不相同的,難度係數大的運動員得分應該高些,難度係數實際上起著權重的作用。
而普通的算術平均數的權重相等,都是1(比如,3和5的平均數為4)也就是說它們的重要性相同,所以平均數是特殊的加權平均數。
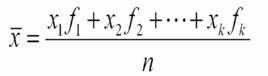
加權平均數是不同比重數據的平均數,用表示。計算公式如下:
(4,3)
在這裡,表示各觀察值的權重;
表示具有不同比重的觀察值。
加權平均數的計算方法
例如,某學生某科平時考試成績為80分,期中考試成績為90分,期末考試成績為95分。按學校規定學期成績中平時成績占20%,期中考試成績占30%,期末考試成績占50%。問該學生學期總評成績應為多少分?
按算法計算得出,該學生學期總評成績為90.5分。

