[化學]
副反應就是反應物在一定條件下同時進行著兩個或兩個以上的不同反應,不是只有生成一個我們想要的物質,還生成我們不想要的物質,通常叫它為副產物,這個生成我們不想要的物質的反應我們叫它為副反應,比如甲苯的硝化反應,硝基可以在鄰位,對位,和間位取代,成為硝基甲苯,這樣我們只是要其中的一種,那么生成另外兩種產物的反應就是副反應。
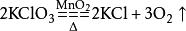
副反應比如在二氧化錳催化氯酸鉀分解製備氧氣的實驗中,方程式為 但這個反應並不是一步完成的,其中有三個副反應,分別是
副反應
副反應
副反應其實不難發現,這三個副反應相加剛好就是原來的反應,而二氧化錳在等式左右兩邊約去了,則在巨觀上不參與反應,但方程式中還是要寫出來作為催化劑。
二甲苯異構化工業過程中副反應的控制
在二甲苯異構化催化劑上,副反應的發生與催化劑的酸性功能和操作條件密切相關。大部分副反應主要是由乙苯的轉化過程引起的,最佳化反應溫度與壓力的匹配、控制適宜的乙苯轉化程度是減少副反應的關鍵。
主反應與副反應
非平衡組成的混合二甲苯轉化為接近熱力學平衡組成的二甲苯混合物是主反應之一,同時另一主反應是乙苯轉化為二甲苯。在二甲苯異構化催化劑的酸性功能和金屬功能上,通過主反應可以達到預期的異構化轉化率和乙苯轉化率。
在主反應發生的同時,伴隨著一系列副反應的發生,如乙苯自身、乙苯與二甲苯、二甲苯自身之間的歧化和烷基轉移反應,乙苯與二甲苯的脫烷基,乙苯的加氫飽和及開環裂解等反應。主要副反應如下:歧化反應、烷基轉移反應、脫烷基反應、加氫開環裂解反應。
酸性中心對副反應的影響
分子篩的酸性中心不僅是二甲苯異構化反應的有效活性位,也是歧化、烷基轉移、加氫裂解等副反應的活性位。從上述副反應可看出,乙苯參與的副反應占多數,因此提高乙苯轉化過程的選擇性是降低副反應程度的關鍵。二甲苯主要參與了歧化和烷基轉移反應;在適宜的工藝條件下,在催化劑催化二甲苯異構化反應的過程中,二甲苯發生脫烷基和加氫開環反應的可能性較小。歧化和烷基轉移反應屬於雙分子反應,需要一個體積較大的中間過渡物(二苯基甲烷),其空間位阻較大,這類反應需在分子篩的較強B酸作用下、在較大的孔道內才能完成;脫烷基反應由於需要一個較高的能壘來斷裂C—C鍵,也需要強B酸中心的催化;加氫開環反應同樣也需要強B酸中心的催化才能完成。因此,雖然強B酸中心是催化二甲苯異構化的重要活性中心,但催化劑中的強B酸中心數量越多,引起的副反應也越多。
工藝條件對副反應的影響
催化劑的操作工藝條件也會對副反應發生的程度產生影響。對於預先設計好活性的催化劑,工藝操作條件(溫度、壓力、重時空速、氫烴摩爾比)的變化是調整催化劑活性的重要手段。工藝條件的變化會對反應結果產生較大影響:隨反應溫度的升高,反應活性增加、選擇性降低;隨反應壓力的增加,反應活性增加、選擇性降低;隨重時空速的增加,反應活性降低、選擇性升高;隨氫烴摩爾比的增加,活性略有降低、選擇性略有升高。
分析化學中副反應係數的教學
分析化學教學中遇到的問題,對副反應係數的教學方法進行了探討,給出了副反應係數的明確定義,並總結了副反應係數在分析化學中的套用。通過類比的方法,利用累積穩定常數,將酸效應係數和配位效應係數的計算公式變得更容易理解和記憶。
副反應係數定義的提出
在主反應進行的同時,許多副反應也在進行,副反應會改變主反應的反應程度。副反應進行的程度用副反應係數α表示。主反應中的反應物和生成物都可能發生副反應,不管是反應物還是生成物,都有兩類存在形式,一類是主反應中期望的存在形式,另一類是發生了副反應的各種存在形式。因此,副反應係數定義為:主反應中反應物(或生成物)所有存在形式濃度總和與主反應中期望的反應物(或生成物)存在形式濃度之比,即
α=(主反應中反應物(或生成物)所有存在形式濃度總和)÷(主反應中期望的反應物(或生成物)存在形式濃度)
副反應越嚴重,副反應產物就越多,主反應中反應物(或生成物)所有存在形式濃度總和遠大於主反應中期望的反應物 (或生成物 )存在形式濃度,則副反應係數α越大。
若沒有發生副反應,主反應中反應物(或生成物)只有一種存在形式,即主反應中期望的反應物(或生成物)存在形式,則α=1。
副反應係數的套用
1.配位滴定中的副反應係數
配位滴定過程中除了金屬離子M和配體EDTA的配位反應外,還有配位效應、酸效應、共存離子效應等副反應。要準確表示滴定反應的進行程度,需要計算出條件穩定常數 K ,而計算 K需要知道副反應係數。
反應物M及Y的副反應不利於主反應的進行,而生成物MY的副反應有利於主反應的進行。此處用αM表示金屬離子的副反應係數,αY表示EDTA的副反應係數,αMY表示MY的副反應係數。根據 反應式,對於反應物M,主反應中期望形式為游離態M離子,而與配體OH 、L發生了副反應之後的存在形式及游離態M離子就是反應物 M的所有存在形式。
2.氧化還原滴定中的副反應係數
氧化還原滴定中計算條件電極電勢時要用到氧化態及還原態的副反應係數。比如根據電對HAsO/HAsO的標準電極電勢E (HAsO/HAsO)計算該電對在pH=8時的條件電勢E (HAsO/HAsO)。
3.沉澱重量法中的副反應係數
在沉澱重量法中,計算難溶電解質的溶解度時會用到條件溶度積K ,而計算K 也需要副反應係數。比如計算AgI在NH中的溶解度,此處NH的酸效應可忽略。

