簡介
光學系統的焦距是系統匯聚光或發散光強度的度量。 對於在空氣中的光學系統,它是在最初準直(平行)光線被帶到焦點之前的距離。 具有短焦距的系統具有比具有長焦距的光焦度更大的光功率,也就是說,它使光線更快地彎曲,使它們在更短的距離內聚焦。
在大多數攝影以及所有的望遠鏡中,被攝影的物體是比較遠的,較長的焦距(較低的光焦度)導致更高的放大倍數和更窄的視角;相反,較短的焦距或更高的光焦度會有較低的放大倍數,在諸如顯微鏡中的套用中,其中通過使近距離接近透鏡來實現放大倍數,較短的焦距(較高的光學功率)導致投影中心的更高的放大倍率。
對厚透鏡(厚度不能忽略的透鏡),或是有好幾片透鏡或面鏡的系統(像是照相機鏡頭或望遠鏡),焦距通常會以有效焦距(EFL,effective focal length)來表示,以與一般常用的參數有所區別:
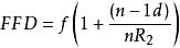
前焦距(FFD)或前焦長(FFL)是系統前方的焦點至第一個光學表面 頂點(焦點)的距離。
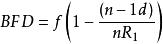
後焦距(BFD)或後焦長(BFL)是系統最後一個光學表面頂點至後方焦點的距離。
薄透鏡近似
對於空氣中的薄透鏡,焦距是從透鏡中心到透鏡的主要焦點(或焦點)的距離。 對於會聚透鏡(例如凸透鏡),焦距為正,並且是準直光束將聚焦到單個光點的距離。 對於發散透鏡(例如凹透鏡),焦距為負,並且是到達通過透鏡後準直光束看起來發散的點的距離。
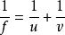
當使用透鏡來形成某些物體的圖像時,從物體到透鏡u的距離,從透鏡到圖像v的距離以及焦距f由下式定義:
前焦距
前焦距可以通過使用它在螢幕上形成遠距離光源的圖像來容易地測量薄透鏡的焦距。 移動鏡頭直到螢幕上形成清晰的圖像。 在這種情況下 可忽略不計,然後給出焦距:
前焦距公式
在空氣中的一個光學系統,有效焦距是由前面和後面的主平面至對應的焦點的距離。如果周圍的環境不是空氣,則距離要乘上該物質的折射係數。有些作者稱這個距離為前(後)焦距,以與上面定義的前(後)焦點距離有所區別。
通常,焦距或有效焦距是描述光學系統聚集光線能力的值,並且常被用來計算放大倍數。其他的參數則被用來計算一個特定對象的影像將會在什麼位置上形成。
對在空氣中厚度為 d,曲率半徑為 R和 R的透鏡,有效焦距為:
前焦距
前焦距此處n是透鏡材料的折射率,數值 就是這個透鏡的光學倍率。
對應前焦距是:
前焦距對應後焦距是:
前焦距以最常見的標示習慣,如果第一個表面的透鏡是凸透鏡, R的數值是正值,如果是凹透鏡則是負值;如果第二個表面是凹透鏡, R的數值是正值,如果是凸透鏡則是負值。要注意的是,即使如此,不同的作者仍可能會有不同的標示習慣。
對於空氣中的球形曲面鏡,焦距的大小等於鏡的曲率半徑除以2。 凹面鏡的焦距為正,而凸面鏡的焦距為負。 在光學設計中使用的符號約定中,凹面鏡具有負的曲率半徑,因此
前焦距其中R是反射鏡表面的曲率半徑。
前焦距的調節方法
有時候可能會遇到長焦推上去很清晰,但一推回廣角就模糊了的問題。其實這很可能是前焦距沒有調節好,導致長焦和廣角的焦點不能很好吻合的原因。
為了更準確的描述其調節方法,將簡述為如下幾個步驟:
1:將光圈選擇開關設定於M
2:光圈環調到f/1.8(光圈調到最大,景深就最小,這樣聚焦才更精確)
3:將前焦距調節用圖置於約3米處(用有條紋的A4大小的紙也可以,但一定要方便聚焦),然後調節室內的照明亮度,獲得光圈在f/1.8時的合適的錄像輸出水平(即在光圈固定在f/1.8時能在尋像器上清晰的得到圖像的亮度)
4:放鬆Ff調節掣子的螺絲
5:將ZOOM(變焦)選擇開關置於M
6:手動變焦控制桿移到長焦鏡頭處,調節聚焦環,使測試的圖譜清晰成像
7:再手動變焦控制桿移到廣角鏡頭處,調節Ff調節掣子,使測試圖譜清晰成像,切勿移動聚焦環
8:反覆6、7步,直至長焦鏡頭和廣角鏡頭均完成聚焦,能夠清晰成像
9:擰緊Ff調節掣子。
在攝影方面
相機鏡頭焦距通常以毫米(mm)指定,但是一些較舊的鏡頭則以厘米(cm)或英寸為單位。
前焦距鏡頭的焦距(f)和視場(FOV)成反比。 對於標準直線鏡頭,其中x是對角線。
當攝影鏡頭設定為“無限遠”時,其後節點與焦距平面處的感測器或膠片由鏡頭的焦距分離。 遠離相機的對象然後在感測器或膠片上產生清晰的圖像,也在圖像平面上。
為了使焦點較近的物體呈現,必須調整鏡頭以增加後節點與膠片之間的距離,將膠片放置在圖像平面上。 焦距(f),從前節點到物體到照片(s)的距離以及從後方節點到圖像平面(s)的距離然後通過以下方式相關:
前焦距
前焦距當s減小時,s必須增加。 例如,考慮一個35mm相機焦距為f = 50mm的普通鏡頭。 要聚焦遠處的物體(),鏡頭的後節點必須距離像平面距離s = 50 mm。 要將物體聚焦1米遠(s= 1,000毫米),鏡頭必須距離圖像平面更遠離2.6毫米,至s2 = 52.6毫米。
鏡頭的焦距決定了拍攝遠距離物體的放大倍數。 它等於圖像平面和針孔之間的距離,該距離可以使與所討論的鏡頭相同尺寸的遠距離物體成像。 對於直線透鏡(即沒有圖像失真),遠距離物體的成像被良好地建模為針孔照相機模型。該模型導致攝影師用於計算攝像機的視角的簡單幾何模型; 在這種情況下,視角僅取決於焦距與膠片尺寸的比率。 一般來說,視角也取決於失真。
具有大約等於膠片或感測器格式的對角尺寸的焦距的透鏡被稱為普通透鏡,其視角與在列印對角線的典型觀察距離處觀察到的足夠大的列印相對照的角度相似,因此在觀看列印時產生正常的透視圖;該視角是對角線約53度。 對於全幅35毫米格式的相機,對角線為43毫米,典型的“普通”鏡頭的焦距為50毫米。 焦距短於正常的鏡頭通常被稱為廣角鏡頭(對於35mm格式的相機通常為35mm以下),而比正常長的透鏡可以被稱為長焦鏡頭( 通常為85 mm以上,適用於35 mm格式的相機)。 技術上,如果焦距長於鏡頭的物理長度,則長焦距鏡頭只能是“長焦”,但該術語通常用於描述任何長焦距鏡頭。
由於35mm標準的普及,照相機鏡頭組合通常以其35mm等效焦距來描述,即將具有相同視角或視場的鏡頭的焦距 ,如果在全畫幅35毫米相機上使用。 使用35毫米等效焦距的數位相機尤其常見,數位相機經常使用小於35毫米膠片的感測器,因此需要相應較短的焦距以達到給定的視角,這一因素稱為作物因子。
