簡介
對厚透鏡(厚度不能忽略的透鏡),或是有好幾片透鏡或面鏡的系統(像是照相機鏡頭或望遠鏡),焦距通常會以有效焦距(EFL,effective focal length)來表示,以與一般常用的參數有所區別:
•前焦距(FFD)或前焦長(FFL)是系統前方的焦點至第一個光學表面 頂點(焦點)的距離。
•後焦距(BFD)或後焦長(BFL)是系統最後一個光學表面頂點至後方焦點的距離。
公式
在空氣中的一個光學系統,有效焦距是由前面和後面的主平面至對應的焦點的距離。如果周圍的環境不是空氣,則距離要乘上該物質的折射係數。有些作者稱這個距離為前(後)焦距,以與上面定義的前(後)焦點距離有所區別。
通常,焦距或有效焦距是描述光學系統聚集光線能力的值,並且常被用來計算放大倍數。其他的參數則被用來計算一個特定對象的影像將會在什麼位置上形成。
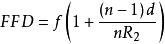
對在空氣中厚度為 d,曲率半徑為 R和 R的透鏡,有效焦距為:
後焦距
後焦距此處n是透鏡材料的折射率,數值 就是這個透鏡的光學倍率。
對應前焦距是:
後焦距對應後焦距是:
後焦距以最常見的標示習慣,如果第一個表面的透鏡是凸透鏡, R的數值是正值,如果是凹透鏡則是負值;如果第二個表面是凹透鏡, R的數值是正值,如果是凸透鏡則是負值。要注意的是,即使如此,不同的作者仍可能會有不同的標示習慣。
對一個球形曲率的鏡子,焦距等於鏡子的曲率半徑的一半。凹面鏡的焦距是正值,凸面鏡的焦距是負值。
後焦距的調節方法
有時候可能會遇到長焦推上去很清晰,但一推回廣角就模糊了的問題。其實這很可能是後焦距沒有調節好,導致長焦和廣角的焦點不能很好吻合的原因。後焦距又叫作法蘭焦距, 用F表示。
為了更準確的描述其調節方法,將簡述為如下幾個步驟:
1:將光圈選擇開關設定於M
2:光圈環調到f/1.8(光圈調到最大,景深就最小,這樣聚焦才更精確)
3:將一個法蘭焦距調節用圖置於約3米處(用有條紋的A4大小的紙也可以,但一定要方便聚焦),然後調節室內的照明亮度,獲得光圈在f/1.8時的合適的錄像輸出水平(即在光圈固定在f/1.8時能在尋像器上清晰的得到圖像的亮度)
4:放鬆Ff調節掣子的螺絲
5:將ZOOM(變焦)選擇開關置於M
6:手動變焦控制桿移到長焦鏡頭處,調節聚焦環,使測試的圖譜清晰成像
7:再手動變焦控制桿移到廣角鏡頭處,調節Ff調節掣子,使測試圖譜清晰成像,切勿移動聚焦環
8:反覆6、7步,直至長焦鏡頭和廣角鏡頭均完成聚焦,能夠清晰成像
9:擰緊F調節掣子。
