光學定義
焦距如果你在相機的英文規格書上看過“f =”,那么後面接的數碼通常就是它的焦長,即焦距長度。如:“f=8-24mm,38-115mm(35mm equivalent)”,就是指這台相機的焦距長度為8-24mm,同時對角線的視角換算後相當於傳統35mm相機的38-115mm焦長。一般而言,35mm相機的標準鏡頭焦長約是28-70mm,因此如果焦長高於70mm就代表支持望遠效果,若是低於28mm就表示有廣角拍攝能力。
“可對焦範圍”則是焦長的延伸,通常分為一般拍攝距離與近拍距離,相機的一般拍攝距離通常都標示為“從某公分到無限遠”,而近階段設計的產品則往往還會提供近距離拍攝功能(macro),以彌補一般拍攝模式下無法對焦的問題。有些相機就非常強調具有支持1厘米近拍的神奇能力,適合用來拍攝精細的物體。
焦距,也稱為焦長,是光學系統中衡量光的聚集或發散的度量方式,指從透鏡中心到光聚集之焦點的距離。亦是照相機中,從鏡片光學中心到底片、CCD或CMOS等成像平面的距離。具有短焦距的光學系統比長焦距的光學系統有更佳聚集光的能力。
相機的鏡頭是一組透鏡,當平行於主光軸的光線穿過透鏡時,光會聚到一點上,這個點叫做焦點,焦點到透鏡中心(即光心)的距離,就稱為焦距 。焦距固定的鏡頭,即定焦鏡頭;焦距可以調節變化的鏡頭,就是變焦鏡頭。(當一束與凸透鏡的主軸平行的光穿過凸透鏡時,在凸透鏡的另一側會被凸透鏡匯聚成一點,這一點叫做焦點,焦點到凸透鏡光心的距離就叫這個凸透鏡的焦距。一個凸透鏡的兩側各有一個焦點。)
光心(Optical center):透鏡中的一個特殊點,凡是通過該點的光,其傳播方向不變(除一條垂直於透鏡的光線外,其餘光線均有平移)。
我們用的照相機的鏡頭就相當於一個凸透鏡,膠片(或是數位相機的感光器件)就處在這個凸透鏡的焦點附近,或者說,膠片與凸透鏡光心的距離約等於這個凸透鏡的焦距。
焦距凸透鏡(convex lens)能成像,一般用凸透鏡做照相機的鏡頭時,它成的最清晰的像一般不會正好落在焦點上,或者說,最清晰的像到光心的距離(像距)一般不等於焦距,而是略大於焦距。具體的距離與被照的物體與鏡頭的距離(物距)有關,物距越大,像距越小,(但實際上總是大於焦距)。
由於我們照相時,被照的物體與相機(鏡頭)的距離不總是相同的,比如給人照相,有時,想照全身的,離得就遠,照半身的,離得就近。也就是說,像距不總是固定的,這樣,要想照得到清晰的像,就必須隨著物距的不同而改變膠片到鏡頭光心的距離,這個改變的過程就是我們平常說的“調焦”。
焦距近似值
焦距在空氣中的薄透鏡,焦距是由透鏡的中心至主焦點的距離。對一個匯聚透鏡(例如一個凸透鏡),焦距是正值,而一束平行光將會聚集在一個點上。對一個發散透鏡(例如一個凹透鏡),焦距是負值,而一束平行光在通過透鏡之後將會擴散開。計算公式如右圖。
光學系統焦距
焦距對厚透鏡(厚度不能忽略的透鏡),或是有好幾片透鏡或面鏡的系統(像是照相,鏡頭或望遠鏡),焦距通常會以有效焦距(EFL,effective focal length)來表示,以與一般常用的參數有所區別:
前焦距(FFD)或前焦長(FFL)是系統前方的焦點至第一個光學表面頂點的距離。
後焦距(BFD)或後焦長(BFL)是系統最後一個光學表面頂點至後方焦點的距離。
在空氣中的一個光學系統,有效焦距是由前面和後面的主平面至對應的焦點的距離。如果周圍的環境不是空氣,則距離要乘上該物質的折射係數(Refractive index)。有些作者稱這個距離為前(後)焦距,以與上面定義的前(後)焦點距離有所區別。
通常,焦距或有效焦距是描述光學系統聚集光線能力的值,並且常被用來計算放大倍數。其他的參數則被用來計算一個特定對象的影像將會在什麼位置上形成。
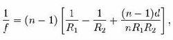
對在空氣中厚度為d,曲率半徑為R1和R2的透鏡,有效焦距為:
1/f=(n-1)[1/R-1/R+(n-1)d/nRR]
此處n是透鏡材料的折射率,數值1/f就是這個透鏡的光學倍率,f是焦距。可見,透鏡材料的折射率n越小,透鏡的焦距越大。
焦距以最常見的標示習慣,如果第一個表面的透鏡是凸透鏡,R1的數值是正值,如果是凹透鏡則是負值;如果第二個表面是凹透鏡,R2的數值是正值,如果是凸透鏡則是負值。要注意的是,即使如此,不同的作者仍可能會有不同的標示習慣。
對一個球形曲率的鏡子,焦距等於鏡子的曲率半徑的一半。凸面鏡的焦距是正值,凹面鏡的焦距是負值。
物體到透鏡中心的距離u 像的正倒 像的大小 像的虛實 像到透鏡中心的距離v 套用實例 物距和像距的關係
(u是物距 v是像距 f是焦距)
| 物距 | 像距 | 像的性質 | 套用舉例 | 像與物位置關係 |
| u無限大 | v=f | 成一點 | 測定焦距 | 異側 |
| u>2f | f<v<2f | 縮小、倒立、實像 | 照相機、眼睛 | 異側 |
| u=2f | v=2f | 等大、倒立、實像 | — | 異側 |
| f<u<2f | v>2f | 放大、倒立、實像 | 幻燈機、放映機 | 異側 |
| u=f | v無限大 | — | — | 不成像 |
| u<f | v>f | 放大、正立、虛像 | 放大鏡 | 同側 |
為了研究各種猜想,人們經常用光具座進行試驗。
蠟燭的焰心,凸透鏡中心,光屏中心應儘量保持在同一水平高度上。
攝影上的焦距
焦距的概念
焦距由於攝影機鏡頭的光學透鏡(lens)而形成。攝影機或放映機的金屬筒容納了一組兩邊或一邊有弧度(凸或凹)的透鏡,組成一個綜合鏡頭。從物體不同部分射出的光線,通過鏡頭之後,聚焦在底片的一個點上,使影像具有清晰的輪廓與真實的質感,這個點就叫焦點(focus)。所謂焦距(focal length),正是從鏡頭之鏡片中間點到光線能清晰聚焦的那一點之間的距離。
焦距當將攝影鏡頭調整到無限遠時,其實是一個有名無實的焦距。在設計上,是將透鏡的主平面與底片或成像感測器的距離調整為焦距的長度,然後,遠離鏡頭的影像就能在底片或感測器上形成清晰的影像。當鏡頭要拍攝比較接近的物體時,是鏡頭的實際焦距被改變了。焦距通常使用毫米(mm)來標示,但仍然可能看見一些使用厘米(cm)或英吋標示的老鏡頭。視野的大小取決於鏡頭的焦距和底片大小的比例。由於最大眾化的是35mm規格,鏡頭的視野經常是根據這種規格標示的。對標準鏡頭(50mm)、廣角鏡頭(24mm)、望遠鏡頭(500mm)視野都是不一樣的。對數位相機上也是一樣,它們的感光器比一般傳統的35mm底片還要更小,所以相對的只要更短的焦距,就可以得到相同的影像。
衍伸的概念
1、變焦:拍攝時對於焦點和焦距的相應調整。
2、對焦:調整焦點,使被拍攝物位於焦距內(in focus),成像清晰。
3、失焦(out of focus):被拍攝物偏離出焦距以外,成像模糊。
4、選焦:選擇景深中的某一個層面清晰對焦,其他層面成像模糊(失焦)。
5、跟焦(follow focus):改變焦點,使移動的人物位於焦距之內。
6、拉焦(rack focus或focus pull):焦點由一處重點移到另一處,速度相當突然。
鏡頭焦距
鏡頭焦距分類
鏡頭焦距較常見的有:8mm,15mm,24mm,28mm,35mm,50mm,85mm,105mm,135mm,200mm,400mm,600mm,1200mm等,還有長達2500mm超長焦望遠鏡頭。
鏡頭根據其焦距的長短,也即拍攝時的視角,可分為標準鏡頭,廣角鏡頭和長焦距鏡頭等。
標準鏡頭的視角約50度左右,這是人單眼在頭和眼不轉動的情況下所能看到的視角,從標準鏡頭中觀察的感覺與我們平時所見的景物基本相同。35mm相機的標準鏡頭的焦距多為40mm,50mm或55mm。120相機的標準鏡頭焦距一般為80mm或75mm,相機片幅越大則標準鏡頭的焦距越大。而數位相機由於其成像介質(CCD或CMOS)有大有小,標準鏡頭的焦距也不一致。為了方便直觀,說起DC鏡頭時經常採用等效於35mm相機的所謂等效焦距,這個等效就是指視角上的等效。以下就只說35mm相機的鏡頭,其他片幅的相機以及數位相機可以類推。
廣角鏡頭
廣角鏡頭,顧名思義就是其攝影視角比較廣,適用於拍攝距離近且範圍大的景物,有時用來刻意誇大前景表現,強烈遠近感以及透視。135相機的典型廣角鏡頭為焦距28mm,視角為75度。常用的還有比28mm略長一些的35mm,38mm的所謂小廣角(多見於傻瓜機)。
比一般廣角鏡頭視角更大的是超廣角鏡頭(如焦距為24mm,視角84度)以及所謂的魚眼鏡頭,其焦距為8mm,視角可達180度。
長焦鏡頭
長焦鏡頭俗稱“望遠鏡頭”,長焦距鏡頭適於拍攝遠距離景物,景深較小,因此容易使背景模糊,主體突出。35mm相機長焦距鏡頭通常分為三級,135mm以下稱中焦距,如85mm,視角28度,105mm,視角23度以及135mm,視角18度。中焦距鏡頭經常用來拍攝人像,有時也稱為人像鏡頭。135-500稱長焦距,如200mm,視角12度,400mm,視角6度。500mm以上的稱為超長焦距,其視角小於5度,適用於拍攝遠處的景物。如球場上的特寫以及野生動物的拍攝,因無法靠近被攝物,超長焦距鏡頭就大有用武之地。
鏡頭焦距理解
鏡頭焦距一般我們說:焦距就是透鏡中心到焦點的距離。但這僅僅是單片薄透鏡的情況,由於照相機的鏡頭都是由許多片透鏡組合而成的,因此,情況遠不是那么簡單。
鏡頭的焦距分為像方焦距和物方焦距。像方焦距是像方主面到象方焦點的距離,同樣,物方焦距就是物方主面到物方焦點的距離。必須注意,由於照相機鏡頭設計,特別是變焦距鏡頭中廣泛採用瞭望遠鏡結構,物方焦距與像方焦距是不一定相等的。我們平時說的照相機鏡頭的焦距是指像方焦距。
確定主面焦距
入射平行光線(或其延長線)與出射會聚光線(或其延長線)相交,就能確定折射主面,這個想像的平面與鏡頭光軸相交處就是主點。像方主點和無窮遠光線形成的焦平面(焦點)之間的距離稱為複合鏡頭的焦距(嚴格說是有效焦距)。用同樣的原理也可以確定物方主面和物方焦距。
主面的位置根據設計可能出現在鏡頭之外。這在許多場合下是很重要的。
鏡頭焦距用例
例如8mm魚眼鏡頭,像方主平面應位於焦平面正前方8mm處,但是8mm內無法容納反光鏡、曝光窗、及焦平面快門的厚度。因此8mm魚眼鏡頭事實上採用了前面加負組光學系統的設計(也稱倒置望遠結構),使鏡頭能夠安裝在像面定位距比8mm大得多的機身上去。
同樣,如果是500mm的超長焦鏡頭,不採用望遠鏡結構的話,鏡頭就要長達500mm以上,使用時無疑是十分不便的。望遠鏡結構的設計可以使主面遠在鏡頭之前,大大地減小了鏡頭的長度。
等效焦距
焦距數位相機因為其感光元件(CCD或CMOS)的尺寸是隨相機的不同而不同(如有1/2.5英寸,1/1.8英寸等),所以同樣焦距的鏡頭在不同尺寸感光元件的數位相機上,成像的視角也不同(具體見圖)。舉個例子來說,50mm焦距的鏡頭用在135膠片相機上,其視角大約是46度,而用在APS-c畫幅(感光元件對角線長度是135膠片的2/3)的DSLR上(如nikon的D90、D300等),其視角就是大約30度。而這50mm鏡頭在APS-c的機器上的拍攝視角大概與75mm焦距的鏡頭在的135膠片機的底片上成像的視角相當,都是大約30度。
所以僅僅以鏡頭的真實焦距,無法比較不同相機的拍攝範圍(成像視角)。但對於用戶來說,真正有意義的正是相機的拍攝範圍(視角大小)。而由於一直以來大家通常以135膠片相機的鏡頭焦距來界定拍攝視角(135膠片相機的感光面是固定不變的),所以大家也習慣於將不同尺寸感光元件上成像的視角,轉化為135相機上同樣成像視角所對應的鏡頭焦距,這個轉化後的焦距就是135等效焦距。
焦距轉換係數
比如,上述的50mm鏡頭用在APS-c的DSLR上,其135相機等效焦距為75mm。又因為75mm=50mm*1.5,所以這裡的1.5就是所謂的“焦距轉換係數”。
135膠片相機都是使用上圖中所示的35mm膠片,而數位相機的CCD/CMOS尺寸往往都相對較小。配契約樣的鏡頭,數位相機的視角要比135相機小,視角的減小可以等同於焦距的增長(視角和焦距成反比)。
有這樣一個簡單的方法計算數位相機的變焦係數。例如Nikon D80的CCD尺寸約為24mm x 16 mm,我們用35mm膠片的成像面的寬36mm除以Nikon D40(尼康D40)的CCD的寬24mm,得到的值就是變焦係數1.5。當我們把18mm的魚眼鏡頭加在Nikon D40上時,這個魚眼鏡頭的等效焦距就是18*1.5=27mm。
兩個焦點距離
即為2c 常用公式c^2=a^2-b^2
c為半焦距
焦距與鏡頭拍攝
鏡頭的焦距決定了該鏡頭拍攝的被攝物體在成像平面上所形成影像的大小。假設以相同的距離面對同一被攝體進行拍攝,那么鏡頭的焦距越長,則被攝體在膠片或影像感測器上所形成的影像的放大倍率就越大。
![焦距[焦點到光心的距離] 焦距[焦點到光心的距離]](/img/9/234/nBnauM3XwAzM5QDNyIDM5EDN0UTMyITNykTO0EDMwAjMwUzLyAzL2czLt92YucmbvRWdo5Cd0FmL0E2LvoDc0RHa.jpg)
