到角公式
公式
到角
到角
到角公式推導
到角公式
到角公式
到角公式
到角公式
到角公式
到角公式
到角公式
到角公式
到角公式
到角公式
到角公式
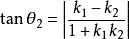
到角公式規定。直線和直線相交於一點,把繞該點按逆時針旋轉角,此時與重合,角就叫做從到的角,同理,就叫做從到的角。那么,
到角公式證明
到角公式
到角公式
到角公式
到角公式
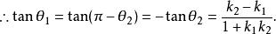
到角公式證明。如右圖,把上面的圖放到坐標平面內,並設直線的傾斜角為,直線的傾斜角為, 。
到角公式
到角公式
到角公式
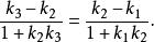
到角公式若直線的斜率為,直線的斜率為,則有:
到角公式
到角公式
到角公式證畢。
注意事項
•“到角”是帶有方向的角,故叫有向角。公式的分子部分是逆時針方向箭頭所指的直線斜率減去另一斜率,與夾角公式不同。
•與到角相類似的夾角是只是大小,只是兩角之差的絕對值。
套用
•套用於求對稱直線的斜率。
到角公式
到角公式
到角公式
到角公式
到角公式
到角公式
到角公式
到角公式
到角公式
到角公式
到角公式已知直線的斜率為,又知道直線的斜率為,為了求直線關於直線的對稱直線的斜率,可得 很容易得到關於的一元一次方程,解得即為的斜率。

