第一形式
公式
角平分線長公式
角平分線長公式
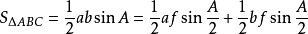
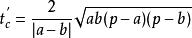
角平分線長公式在△ABC中,∠A的角平分線記為 ,∠B的角平分線記為 ,∠C的角平分線記為 ,三邊邊長為a、b、c,則
角平分線長公式
角平分線長公式
角平分線長公式其中p是半周長。
推導過程
角平分線長公式
角平分線長公式證明。 法一。如圖,我們先證明 。
角平分線長公式
角平分線長公式
角平分線長公式
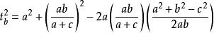
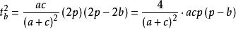
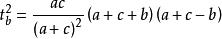
角平分線長公式由角平分線定理可得 ,並注意到 ,消去 ,化簡得 。
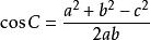
角平分線長公式由余弦定理, ,
角平分線長公式
角平分線長公式
角平分線長公式把 和 的表達式代入(1)中,
角平分線長公式即
角平分線長公式
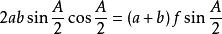
角平分線長公式設 ,那么上式可以寫成
角平分線長公式於是
角平分線長公式其他角平分線長度同理可證。
證畢。
提要。 法二。運用斯特瓦爾特定理,可得證明。
第二形式
公式
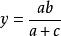
三角形ABC的角平分線為AD,D在CB上。則
角平分線長公式
角平分線長公式推導過程
角平分線長公式
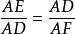
角平分線長公式證明。如圖,延長AC到E,使CE=CD,連線DE,則AE=AC+CD, 。在AB邊上取點F,使BF=BD,連線DF,則AF=AB-BD,∠BDF=∠BFD。則
角平分線長公式即
角平分線長公式又
角平分線長公式則
角平分線長公式
角平分線長公式
角平分線長公式於是 ,便有 ,故
角平分線長公式又
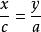
角平分線長公式由角平分線定理得
角平分線長公式即
角平分線長公式代入①中得
角平分線長公式證畢。
第三形式
公式
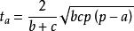
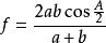
△ABC中,角平分線
角平分線長公式推導過程
角平分線長公式證明。如圖,設AB、AC、AD長a、b、f。易知
角平分線長公式即
角平分線長公式於是
角平分線長公式證畢。
外角平分線長公式
公式
角平分線長公式
角平分線長公式
角平分線長公式下面不加證明地給出公式。在△ABC中,∠A的外角平分線記為 ,∠B的角平分線記為 ,∠C的角平分線記為 ,三邊邊長為a、b、c,則
角平分線長公式
角平分線長公式
角平分線長公式
