基本介紹
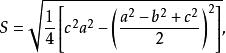
布雷特施奈德公式(Bretschneide formula) 設簡單四邊形的四邊為a、b、c、d,兩對角線為e、f,則面積
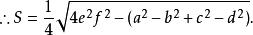
布雷特-施奈德公式若四邊中有一邊退縮為零,上述公式即成 秦九韶公式(三斜求積公式)。如當d=0時,則e=c,f=a,
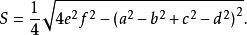
布雷特-施奈德公式這即秦九韶公式(三斜求積公式) 。
若凸四邊形內接於圓,則ef=ac+bd,於是面積
布雷特-施奈德公式(此處p為凸四邊形的半周),後一結論亦稱“婆羅摩笈多定理” 。
婆羅摩笈多定理(Brahmagupta theorem):公元七世紀印度數學家婆羅摩笈多曾經證明了下面兩個定理:(1)如果圓內接四邊形的兩條對角線互相垂直,那么過其交點所作一邊的垂線必將對邊平分;(2)見上述“布雷特施奈德公式”。
Bretschneide公式的證明
Bretschneide公式 若簡單四邊形的四邊長為a、b、c、d,兩對角線長為e.f,則該四邊形的面積為
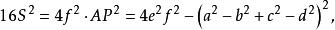
布雷特-施奈德公式此公式由Bretschneide(1808~1878)於1842年提出,它是秦九韶的三斜求積公式的推廣。若在上述公式中令d = 0,e = c,f= a,則得到三角形面積公式
布雷特-施奈德公式如圖1,簡單四邊形ABCD中,記AB=a,BC= b,CD=c,DA=d,AC=e,BD=f,作CF⊥BD於F,AE⊥BD於E,作CP// BD交AE或其延長線於P,則
布雷特-施奈德公式
布雷特-施奈德公式 圖1(a) | 圖1(b) |
設M是BD的中點,則
布雷特-施奈德公式
布雷特-施奈德公式
布雷特-施奈德公式
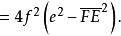
布雷特-施奈德公式即
布雷特-施奈德公式
布雷特-施奈德公式
布雷特-施奈德公式
布雷特-施奈德公式
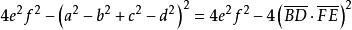
布雷特-施奈德公式即
布雷特-施奈德公式⑵-⑶得
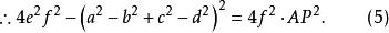
布雷特-施奈德公式即
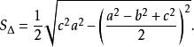
布雷特-施奈德公式所以
布雷特-施奈德公式
布雷特-施奈德公式
布雷特-施奈德公式
布雷特-施奈德公式比較⑴與⑸式,知
布雷特-施奈德公式
布雷特-施奈德公式
圖1(a)
圖1(b) 