簡介
八邊形是數學中的一種圖形,由八條線段首尾相連圍成的封閉圖形,它有八條邊、八個角。八邊形可分為正八邊形和非正八邊形。八邊形的內角和是1080度,外角和為360度。周長等於八條邊長度之和。八條長度相等的線段,每個內角都是135°,首尾相連構成的一個封閉形狀的平面圖形叫正八邊形。不是正八邊形的八邊形稱為非正八邊形。
對於多邊形,每兩條相交直線所確定的角中位於多邊形內部的那一個角就是該多邊形的內角。所有內角的和即為內角和。多邊形的一條邊與另一條邊的延長線組成的角,叫做多邊形的外角。所有外角的和即為外角和。
正八邊形
八條長度相等的線段,每個內角都是135°,首尾相連構成的一個封閉形狀的平面圖形叫正八邊形。正八邊形每個角大小都相等,每條邊長度相等。正八邊形每個角大小都相等,每條邊長度相等。正八邊形的內角和為1080度,每個內角是135度,每個外角是45度。
周長
正八邊形的周長計算:周長=邊長*8。
面積
正八邊形的面積計算有以下幾種方法:
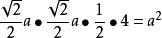
八邊形(1) 由中點向各頂點連線得到8個等腰三角形,設八邊形最長對角線為2a,則等腰三角形腰長a,用正弦定理計算三角形的面積,得正八邊形的面積為。
(2) 設正八邊形內最長對角線長為a,最短對角線長為b,則正八邊形面積面積為ab。
八邊形(3) 已知邊長為a時,又有:。
八邊形
八邊形
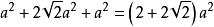
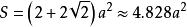
八邊形推導:正八邊形可以分割成四個小三角形,四個小長方形以及中央部分的一個正方形。四個小三角形的面積和為:,四個小長方形面積之和為:,中間的正方形面積為a²,所以正八邊形面積公式為:。
八邊形(4) 已知中心到各點的長(外接圓半徑)為R,則正八邊形面積為。
作圖
用直尺和圓規畫正八邊形的方法如下:
(1)做正方形ABCD,並做正方形外接圓O,如圖1所示;
圖1(2)過圓心O向任意一邊(設為AB)作垂線並延長,延長線交圓弧於E、F,如圖2所示;
圖2(3)以AE、DE為半徑畫弧,得到與圓O的交點,分別為G、H,如圖3所示;
圖3(4)連線EAGBFCHD,如圖4所示;
圖4(5)擦除其他對象,即得正八邊形EAGBFCHD,如圖5所示。
圖5八邊形的套用
八邊形套用於生活中的多方面,如:
(1)建築結構(如圖6、7所示)。
(2)正八邊形孔蜂窩梁。蜂窩梁作為一種新型鋼構件,由於其截面形式合理、自重輕、承載能力高、美觀經濟等優點,常被套用於大跨結構中 。
(3)八邊形結構的雙折射光子晶體光纖。研究表明,具有相同參數的八邊形結構光子晶體光纖比六邊形結構光子晶體光纖的雙折射率明顯提高,限制損耗大幅度減小,零色散波長也向短波方向移動 。

