介紹
內點法任何凸最佳化問題都可轉化成凸集上的線性目標函式問題。早在19世紀60年代,就有人在研究非線性規劃時,試圖通過設計懲罰函式來描述可行區域。
內點法1972年,V.Klee和G.Minty給出一個例子,他們構造一個線性規劃問題,用單純形方法求解,需要的計算時間為。這個例子表明,單純形算法雖然在實際套用中非常有效,至今占有絕對優勢,但在理論上它還不是多項式算法。於是產生這樣的問題:對於線性規劃,能否找到多項式算法?
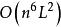
內點法1979年,前蘇聯數學家第一個給出了求解線性規劃的多項式算法,這就是所謂的橢球算法。它的計算複雜性為,其中n是變數的維數,L是輸入長度。這個算法在理論上是重要的,但是計算結果很不理想,遠不及單純形方法有效。
內點法算法上突破性的進展和當代科學技術發展的需要,又給人們提出進一步的問題:能否找到實用上也確實有效的多項式時間算法?正是在這樣的背景下,產生了內點法,它的計算複雜性是。
原理
內點法中有一個懲罰函式,用於描述凸集。與單純形法不同,它通過遍歷內部可行區域來搜尋最優解。
線性規劃問題描述如下:
內點法
內點法與(1)對應的對數型懲罰函式為:
內點法
內點法
內點法
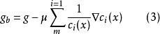
內點法這裡是一個小的正參數,常被稱作“懲罰因子”。當趨近於0時,將趨近於(1)的解。
懲罰函式的梯度為:
內點法
內點法
內點法
內點法
內點法是原始函式的梯度,且是的梯度。
內點法
內點法除了原始變數,我們還引入了拉格朗日乘子(有時也稱鬆弛變數):
內點法
內點法(4)有時被稱為擾動互補條件,類似於KKT條件中的互補鬆弛。我們試圖找到那些使得懲罰函式梯度為0的。
對比(3)與(4)我們容易得到一個關於梯度的等式:
內點法
內點法
內點法其中,是限制條件的雅克比矩陣。
內點法(5)式意味著的梯度應該位於限制條件梯度所張成的子空間中。對(4)和(5)套用牛頓法我們得到:
內點法
內點法
內點法
內點法
內點法其中,是的黑塞矩陣,是的的對角矩陣。
內點法
內點法因為(1)和(4),所以在每次疊代時都必須滿足,所以可以通過選擇合適的來計算:
內點法套用
•單純形法最古老,被研究的最為透徹,商業化的軟體程式也最成熟
•橢球算法像曇花一現,雖然在理論上證明了線性規劃問題可在多項式時間內求解,但在實際套用上反而不如單純形法來的有效便捷
•內點法是最新的設計,理論上它比橢球法還要有效,實際套用上它也可以與單純形法相抗衡,不少商業化軟體已經上市,前景甚佳

