簡要介紹
內摩擦是運動流體分子之間產生的摩擦,對於巨觀流體來講,內摩擦是流體具有黏性的原因。流體在運動時,如果相鄰兩層流體的速度不同,則在它們的界面上產生切應力,運動快的流層對運動慢的流層施以推力,而運動慢的流層則對運動快的流層施以阻力,這對力稱為流層之間的內摩擦力,或稱黏性切應力。
內摩擦現象
當流體作定向流動時,構想沿流動方向把氣體分成許多平行的薄層。如果各流體層的流速u不相等,這時流體將顯示出一種性質,叫做黏性。由於黏性的存在,在相鄰兩流體層中,速度快的流體層對速度慢的流體層將產生一個“拖動力”F,使它加速;而速度慢的流體層對速度快的流體層就產生一個阻止它前進的“阻滯力”F,使它減速。拖動力和阻滯力是同時出現在相鄰兩流體層接觸面上的一對等值反向的摩擦力,叫做內摩擦力。當流體體處於靜止或流體內各處定向運動的速度相等時,流體的黏性就不表現出來,因而也就不存在內摩擦力。
從流體動理論的觀點來看,每個分子具有質量,它在運動時具有一定的速度,因此每個運動分子都帶著它的動量,從一處移動到別處。當流體作定向運動時,每個分子除了擁有無規則運動的動量外,還同時擁有沿流體運動方向作定向運動的動量。例如,就氣體中任取的相鄰兩流體層A,B來說,由於分子熱運動的不規則性,流體層A與B通過接觸面都互有分子來往,因為A層分子的定向速度較大,B層分子的定向速度較小,所以A層分子帶著較大的定向動量轉移到B層,B層分子帶著較小的定向動量轉移到A層。由於每秒鐘內在兩層間有為數眾多的分子彼此交換,從而使B層流體的定向動量增加,A層的定向動量減少,結果造成定向動量從A層向B層的輸運。按動量定理,每秒鐘的動量改變在巨觀上就表現為相鄰兩流體層在接觸面上沿動量改變的方向存在著相互作用力。這就是內摩擦力。
牛頓黏性實驗
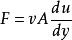
內摩擦流體的黏性實驗是由牛頓於1687年首次進行的。如圖1所示,兩塊平行平板,相距為h,其間充滿黏性流體。下板不動,上板以速度U在自身平面內做勻速運動。為了維持上板的勻速運動,必須在平板上施加一個拖動力F。 實驗表明,拖動力F與板的面積A和速度U成正比,而與兩板間的距離h成反比,即: 。
圖1 牛頓黏性定律牛頓內摩擦定律
牛頓內摩擦定律,又稱牛頓黏性定律。根據牛頓黏性實驗的結果,推動上板的力F的大小與垂直於流動方向的速度梯度du/dy成正比,與接觸面的面積A成正比,並與流體的種類有關,而與接觸面上壓強p無關。
數學表達式:
內摩擦F——流體層接觸面上的內摩擦力,N;
內摩擦A——流體層間的接觸面積,;
內摩擦
內摩擦——動力黏度,。
流層間單位面積上的內摩擦力稱為黏性切應力,用符號τ表示。
內摩擦
內摩擦式中,τ——黏性切應力,。
如果流體的速度在y方向不是線性變化,則黏性切應力可表示為:
內摩擦上式即為牛頓內摩擦定律。
從牛頓內摩擦定律可知,當速度梯度等於零時,內摩擦力也等於零。所以,當流體處於靜 止狀態或以相同速度運動(流層間沒有相對運動)時,內摩擦力等於零,此時即使流體有黏性,流體的黏性作用也表現不出來。 當流體沒有黏性(μ=0)時,內摩擦力等於零。

