氣體的輸運現象
正文
在非平衡狀態下,氣體各部分之間動量、能量、質量等物理量傳遞、交換過程中的現象。有時又稱為遷移現象。一個孤立系統,經過足夠長的時間,最後總要達到平衡態。在趨向平衡態的過程中,由於動量的傳遞,氣體各部分間的巨觀相對運動將消失;由於能量的傳遞,氣體各部分間的溫度差異將消失;由於質量的傳遞,氣體各部分間的密度差異也將消失。這些過程統稱為輸運過程。
氣體的輸運現象來源於分子間的碰撞,因而與氣體分子的平均自由程有密切關係。在有限的容器中,平均自由程與容器線度相比的相對大小決定了輸運過程的具體性質。平均自由程的大小由氣體的壓強決定,因而在不同壓強下,有限容器如管道內氣體的輸運機理有很大差別。通常分以下三種情況:①較高壓強下,氣體分子的平均自由程l較小,即遠小於管道的直徑d(l
d)時,分子間的碰撞頻率就遠大於分子對器壁的碰撞頻率,物理量的輸運主要靠氣體分子之間的碰撞。②較低壓強下,氣體分子的平均自由程l較大,即大於管道直徑 d(l>d)時,分子對器壁的碰撞頻率大於分子間的碰撞頻率,物理量的輸運主要靠氣體分子對器壁的碰撞。③壓強介於以上兩種情況之間,即氣體分子的平均自由程l接近管道直徑d(l≈d)時,則需要綜合考慮。 氣體的輸運現象主要研究粘滯性、熱傳導和擴散。
粘滯性 由於氣體各部分的運動速度不同,各部分之間或氣體與器壁之間有相對運動,導致氣體的動量沿垂直於氣體速度方向由高速區傳向低速區,產生摩擦效應。在不同壓強下,摩擦的情況不同。
①較高壓強下,這時氣體分子的平均自由程比管道截面的尺寸小得多,可把氣體按Л的大小分成許多與管軸相平行的氣層。越靠近管壁的氣層,相對管壁的流動速度越慢。此時,由於氣層數目多,可認為動量沿各氣層連續改變,並依靠分子之間的碰撞作用由一層傳遞到相鄰的一層。層與層之間由摩擦作用表現出粘滯性。這種粘滯性又稱為內摩擦。摩擦力dF與垂直於管軸方向的流速變化率dv/dz及作用面積dA成正比,可表述為

氣體的輸運現象
在這個壓強範圍內,內摩擦係數 η一般與壓強無關,而與氣體分子量的二次方根成正比,與氣體分子有效直徑的二次方成反比,並隨溫度的升高而增大。其國際單位是帕〔斯卡〕·秒(Pa·s),CGS制表示的內摩擦係數的單位是泊(P)。
② 較低壓強下,這時氣體分子的平均自由程大於管道截面直徑。由於分子之間的碰撞很少,所以沒有顯著的動量交換,以致分子間的內摩擦可以忽略。氣體分子與管壁之間的碰撞占主要地位,氣流與管壁之間的相對速度所造成的摩擦作用稱為外摩擦。
③ 中等壓強下,當氣體分子的平均自由程接近並略小於管道截面的直徑時,可把氣體按平均自由程的大小分成幾層,這時內摩擦、外摩擦作用有同等的重要性。從巨觀來看,貼近管壁的氣層與器壁間有速度躍變,稱為滑動現象。
熱傳導 由於各部分氣體溫度不同,或器壁間、器壁與氣體間溫度不同,使熱量通過氣體分子熱運動從高溫區轉向低溫區而產生的傳熱效應。此時,能量由高溫區傳向低溫區。
氣體傳熱現象還可由另一些機製造成,如對流、輻射等。熱傳導僅指輸運過程的氣體分子傳熱。
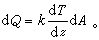
① 較高壓強下,這時的氣體熱傳導問題與內摩擦問題十分類似。若有一對溫度不同的平行板,那么單位時間的傳熱量 dQ與垂直於平行板方向的溫度梯度dT/dz及作用面積dA成正比,可表述為

氣體的輸運現象
γ為氣體的比熱容比。由此可推出ε的值:單原子氣體為2.5;雙原子氣體為1.9;多原子氣體為 1.75以至更小些。由於сv與壓強無關,與溫度的關係也較小,所以熱傳導係數與壓強、溫度的關係同內摩擦係數的情況類似。 ② 較低壓強下,稀薄氣體的傳熱決定於單個分子與器壁的碰撞。若有一對溫度不同的平行板,兩者的溫差為ΔT,那么,分子將與高溫板壁碰撞獲取能量,然後反射並與低溫板壁碰撞交出能量。因此,單位時間的傳熱量與單位時間碰撞在單位面積上的分子數、每個分子可攜帶的能量、分子與板壁碰撞可交換能量的程度、溫差以及作用面積的大小成正比。
③ 中等壓強下,氣體分子的平均自由程與器壁的尺寸有同樣的數量級。能量遷移與壓強的關係介於高、低壓強的傳熱情況之間,在板壁附近有與速度躍變相類似的溫度躍變現象。
綜上所述,在較低壓強區傳熱量與壓強成正比,在中等壓強區傳熱量仍與壓強有關。利用這兩個區間的熱傳導原理,可以測量氣體壓強,製成熱傳導真空計。當l>d時,熱傳導隨壓強而降低,利用這一特性可以使系統間達到熱絕緣的目的。如暖瓶具有真空夾層,因此保溫性能好。大氣壓強下,空氣分子的平均自由程約 0.1μm,若採用具有不大於 0.1μm直徑孔隙的材料如氣凝膠、蛭石、珠光砂、矽膠、石棉粉、硅藻土、玻璃棉等,同樣可以隔熱保溫。用棉花、絲棉、駝毛作冬衣穿在身上能保暖,也是這個道理。
擴散 由於氣體各部分的密度不同,使氣體分子從密度較大的區域自發地傳遞到密度較小的區域,此時被輸運的是質量。由密度梯度引起的氣體擴散,主要分為二種:一是自擴散──同一種氣體因本身密度不同而引起的擴散;一是互擴散──發生在不同種氣體間的擴散。在某些特殊情況下,由於溫度差別,也會引起質量的輸運。真空技術中稱這種輸運現象為熱流逸。
自擴散 在密度梯度的作用下,分子從高密度區域向低密度區域傳遞。單位時間的質量遷移dM與密度梯度
及作用面積dA成正比,可表述為 
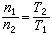
氣體的輸運現象熱流逸 是在較低壓強下出現的一種擴散現象。若有兩個容器中間以孔相通,容器中氣體的溫度、壓強、密度各為T1、p1、n1和T2、p2、n2。在較高壓強(l<<d)情況下,兩容器中的氣體穩定時,應有p1=p2,根據理想氣體狀態方程,則有
。在較低壓強(l>d)情況下,兩容器中的氣體穩定時,從兩側穿過小孔的氣體分子數應相同。又由於單位時間單位面積內穿過小孔的分子數即為氣體分子對器壁的碰撞頻率數,所以當兩容器是同類氣體時,可有
即在相連的兩個溫度不同的容器中,壓強和密度均不相等。這種現象稱為熱流逸。 輻射計效應 輻射計效應在較高壓強下與熱擴散有關,在較低壓強下和熱流逸有關。輻射計效應最初是在克魯克斯輻射計內被發現的。輻射計內已抽成真空並裝有一個非常靈敏的小風車,風車翼的一面塗黑,另一面光亮。當光線從一側照射到翼上時,就引起風車轉動,這種力稱為輻射計力。這種力是由兩種因素構成的。①一種因素是熱擴散。塗黑面比光亮面易吸熱,以致兩個面形成溫差,為了抵消熱擴散作用,氣體將由溫度較低的光亮面沿風車翼邊緣向溫度較高的塗黑面流動,這就引起了翼上兩面間的作用力,這個力的大小與氣體壓強成反比。②另一種因素是由於分子與溫度較高的塗黑面碰撞反射回來的速度,大於從溫度較低一面的反射速度。這也會引起翼上兩面間的作用力,這個力的大小與氣體壓強成正比。
參考書目
王竹溪著:《統計物理學導論》,高等教育出版社,北京,1956。
高本輝、崔素言編著:《真空物理》,科學出版社,北京,1983。
E. H. Kennard, Kinetic Theory of Gases,McGraw-Hill,New York,1938.
熊谷寬夫,富永五郎,辻泰,堀越源一:《真空の物理と応用》,裳華房,1970。
