定律內容
考慮一種流體,它介於面積相等的兩塊大的平板之間,如圖1-1,這兩塊平板處處以一很小的距離分隔開,該系統原先處於靜止狀態。假設讓上面一塊平板以恆定速度v在x方向上運動。
牛頓內摩擦定律
牛頓內摩擦定律緊貼於運動平板下方的一薄層流體也以同一速度運動。當不太大時,板間流體將形成穩定層流。靠近運動平板的液體比遠離平板的液體具有較大的速度,且離平板越遠的薄層,速度越小,至固定平板處,速度降為零。
牛頓內摩擦定律速度按某種曲線規律連續變化。這種速度沿距離的變化稱為速度分布。
牛頓內摩擦定律
牛頓內摩擦定律
牛頓內摩擦定律
牛頓內摩擦定律
牛頓內摩擦定律
牛頓內摩擦定律設某一流層速度為,與其相鄰流層速度為,為其流速變化值,設流層間沿軸距離差為,若兩板間的距離很小,則兩板間的流速變化無限接近線性,即可化為流速梯度。
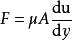
牛頓內摩擦定律設F為流體各層間的內摩擦力,流體間接觸面積為。
牛頓內摩擦定律
牛頓內摩擦定律大量實驗證明,流體的內摩擦力大小與流體性質有關,與流體速度變化梯度和接觸面積成正比。
牛頓內摩擦定律若將比例係數設為。
則各物理量關係滿足
牛頓內摩擦定律此理論為牛頓內摩擦定律。
上式說明流體在流動過程中流體層間所產生的剪應力與法向速度梯度成正比,與壓力無關。流體的這一規律與固體表面的摩擦力規律不同。
適用條件
僅適用於層流流動,不適用於湍流流動;
僅適用於牛頓流體,不適用於非牛頓流體。
1.僅適用於層流流動,不適用於湍流流動;
2.僅適用於牛頓流體,不適用於非牛頓流體。
其它形式
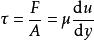
工程學中,常令г為單位面積上的內摩擦力,即摩擦應力(又稱切應力),於是得到下式
牛頓內摩擦定律式中:τ為單位面積上的摩擦應力,也叫做剪應力,Pa或N/㎡;
F為相鄰流體層間內摩擦力,N;
A為流體層接觸面積,㎡;
μ為與流體性質相關的比例係數,通常稱為動力黏性係數,或稱動力粘度,Pa*s或kg/(m*s)。
du/dy為速度梯度。1/s
牛頓內摩擦定律又稱黏性定律。

