簡介
偶極子天線(英語:Dipole antenna或doublet)是在無線電通信中,使用最早、結構最簡單、套用最廣泛的一類天線。它由一對對稱放置的導體構成,導體相互靠近的兩端分別與饋電線相連。用作發射天線時,電信號從天線中心饋入導體;用作接收天線時,也在天線中心從導體中獲取接收信號。常見的偶極子天線由兩根共軸的直導線構成,這種天線在遠處產生的輻射場是軸對稱的,並且在理論上能夠嚴格求解。偶極子天線是共振天線,理論分析表明,細長偶極子天線內的電流分布具有駐波的形式,駐波的波長正好是天線產生或接收的電磁波的波長。因而製作偶極子天線時,會通過工作波長來確定天線的長度。最常見的偶極子天線是半波天線,它的總長度近似為工作波長的一半。除了直導線構成的半波天線,有時也會使用其他種類的偶極子天線,如直導線構成全波天線、短天線,以及形狀更為複雜的籠形天線、蝙蝠翼天線等。歷史上,海因里希·赫茲在驗證電磁波存在的實驗中使用的天線就是一種偶極子天線。
直天線的理論分析
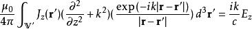
在洛侖茲規範下,任意電流電荷體系在場點r產生的矢勢由推遲勢公式給出:
偶極子天線
偶極子天線其中是推遲時刻。
積分方程法
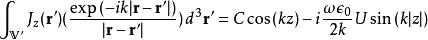
偶極子天線
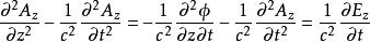
偶極子天線對於一般的偶極子天線,天線上變化的電流會產生輻射場,輻射場也會影響天線上的電流分布。求解一般的偶極子天線產生的輻射場是一個複雜的邊值問題。對於導體構成的直天線,設其內部的電場的切向分量為。這樣在天線內部,矢勢的切向分量滿足方程:
偶極子天線
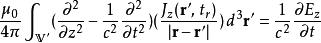
偶極子天線將推遲勢公式代入,即可得到天線內部的電流密度滿足的積分方程:
偶極子天線如果使用單頻交流電饋電,利用分離變數法,可以將方程轉化為:
偶極子天線
偶極子天線該方程被稱為波克靈頓(英語:Pocklington)積分方程。它需要在適當的邊界條件(如天線末端)下求解。
偶極子天線
偶極子天線
偶極子天線如果天線由良導體構成,則只在天線中心的空氣隙中明顯地不為零,而在導體中近似為零,可以用狄拉克δ函式代替。此時滿足一維波動方程,具有駐波形式,滿足:
偶極子天線待定係數C由邊界條件給出。此為海倫(英語:Hallen)積分方程。利用矩量法可以求得兩個方程的數值解。
無線電
無線電,又稱 無線電波、 射頻電波、 電波,或 射頻,是指在自由空間(包括空氣和真空)傳播的電磁波,在電磁波譜上,其波長長於紅外線光(IR)。頻率範圍為300 GHz以下,其對應的波長範圍為1毫米以上。就像其他電磁波一樣,無線電波以光速前進。經由閃電或天文物體,可以產生自然的無線電波。由人工產生的無線電波,被套用在無線通訊、廣播、雷達、通訊衛星、導航系統、電腦網路等套用上。
無線電發射機,藉由交流電,經過振盪器,變成高頻率交流電,產生電磁場,而經由電磁場可產生無線電波。無線電波像磁鐵,有同性相斥、異性相吸的現象。同類電子會互相排斥,因此當無線電波射出時,會將前方電波往前推,當連續電波一直射出來時,電波就會在空氣中傳播。
無線電技術是通過無線電波傳播信號的技術,其原理在於,導體中電流強弱的改變會產生無線電波。利用這一現象,通過調製可將信息載入於無線電波之上。當電波通過空間傳播到達收信端,電波引起的電磁場變化又會在導體中產生電流。通過解調將訊息從電流變化中提取出來,就達到了資訊傳遞的目的。
麥克斯韋最早在他遞交給英國皇家學會的論文《電磁場的動力理論》中闡明了電磁波傳播的理論基礎。他的這些工作完成於1861年至1865年之間。
海因里希·魯道夫·赫茲在1886年至1888年間首先通過試驗驗證了麥克斯韋爾的理論。他證明了無線電輻射具有波的所有特性,並發現電磁場方程可以用偏微分方程表達,通常稱為波動方程。
1906年聖誕前夜,范信達在美國麻薩諸塞州採用外差法實現了歷史上首次無線電廣播。范信達廣播了他自己用小提琴演奏“平安夜”和朗誦《聖經》片段。位於英格蘭切爾姆斯福德的馬可尼研究中心在1922年開播世界上第一個定期播出的無線電廣播娛樂節目。
天線
天線是一種用來 發射或 接收無線電波的設備,廣泛而言為電磁波的電子元件。天線套用於廣播和電視、點對點無線電通訊、雷達和太空探索等系統。天線通常在空氣和外層空間中工作,也可以在水下運行,甚至在某些頻率下工作於土壤和岩石之中。
從物理學上講,天線是一個或多個導體的組合,由它可因施加的時變電壓或時變電流而產生輻射的電磁場,或者可以將它放置在電磁場中,由於場的感應而在天線內部產生時變電流並在其終端產生時變電壓。

