成份
本品主要成份是二氟尼柳,化學名為:2',4'二氟-4-羥基[1,1'-二苯基]-3-甲酸。
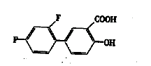
其結構式為:
二氟尼柳片分子式:CHFO
分子量:250.20
性狀
本品為薄膜衣片,除去薄膜衣後顯白色或類白色。
適應症
適用於類風濕性關節炎、骨關節炎、以及各種輕、中度疼痛。
規格
0.25g
用法用量
飯後口服。成人一日2次,一次0.5g,或遵醫囑。一日維持劑量不應超過1.5g。
不良反應
1.胃腸道反應:部分病人有噁心、食慾減退、腹痛、腹脹、便秘和腹瀉。
2.中樞神經系統反應:一般極少發生,主要有眩暈、頭痛、嗜睡、失眠,症狀較輕,很少需要中斷治療。
3.偶見皮疹、水腫、鼻炎、短暫視覺障礙。
禁忌
1.對本品或其他非甾體抗炎藥過敏者包括阿斯匹林;
2.活動期消化性潰瘍患者;
3.嚴重肝、腎功能損害的病人。
注意事項
1.出血時間延長傾向者和有消化道疾病史患者慎用。
2.心功能不全,高血壓或其他有體液瀦留傾向的病人慎用,因有可能導致水腫。
3.肝、腎功能不良病人套用本品時,應使用較低劑量,並嚴密觀察,以避免藥物蓄積進一步損害肝腎功能。
孕婦及哺乳期婦女用藥
禁用。
兒童用藥
12歲以下兒童不推薦使用。
老年用藥
老年患者由於肝、腎功能發生減退,易發生不良反應,應慎用或適當減量使用。
藥物相互作用
(1)本品與口服抗凝血藥同時服用,可延長凝血酶原時間,故應慎用,並應監測凝血酶原時間,適當調節口服抗凝藥劑量。
(2)與消炎痛同時服用,可降低腎臟對消炎痛的清除而明顯增加其血漿水平,可引起嚴重的胃腸道出血,故不應同時使用。本品與萘普生同用時,可顯著降低萘普生及代謝產物自尿中的排泄。故本品不宜與非甾體抗炎藥同時套用。
(3)與雙氫氯噻嗪同時服用,可顯著增加後者的血漿水平。
(4)與環孢素合用時,可增加環孢素的腎毒性,故應監測腎功能。
藥物過量
已有藥物過量和因此發生死亡的報導。藥物過量時常見的症狀包括嗜睡、噁心、嘔吐、腹瀉、過度換氣、心動過緩、耳鳴、定向障礙、木僵和昏迷。尿量減少和心肺功能障礙也有報導。有報導在未套用其它藥物的情況下,服本品15g而致死。同時服其他藥物時,服本品7.5g而致死。
發生藥物過量應及時催吐或洗胃,同時給予對症和支持治療。由於本品與血漿蛋白結合率高,故血液透析可能無效。
藥理毒理
本品為水楊酸衍生物,屬非甾體抗炎藥,具有鎮痛、抗炎及解熱作用,其機理可能是抑制前列腺素合成。
藥代動力學
本品口服吸收良好,服藥後2~3小時可達血漿峰濃度。本品的血漿蛋白結合率為99%,表觀分布容積為7.5L,腎功能中度或嚴重損害時,其分布容積增加,本品血漿半衰期為8~12小時。本品口服劑量的90%,以兩種可溶性葡萄糖苷酸結合物的形式自尿排出,總清除率為7.9ml/分。
貯藏
密封保存。
包裝
鋁塑包裝,6片/盒;12片/盒
有效期
暫定二年

